特征
●出色的TCVOS匹配:最大2μV/℃
●低输入偏移电压:最大150 μV
●低供电电流:100μA
●单电源操作:5 V至30 V
●低输入偏移电压漂移:最大0.75 V/ C
●高开环增益:2000 V/mV
●高PSRR:3μV/V
●低输入偏置电流:12毫安
●宽共模电压范围:V–在V的1.5 V范围内+
●引脚与1458、LM158和LM2904兼容
●以模具形式提供
一般说明
OP220是单片双运算放大器,可用于单电源或双电源操作。低失调电压和输入失调电压跟踪低至1.0mv/∞C,使这是第一个微功耗精密双运算放大器。
单个放大器的优良规格与通道之间的紧密匹配和温度跟踪相结合,为仪表放大器设计提供了高性能。单个放大器具有极低的输入偏置电压,低的偏置电压漂移,低噪声电压和低偏置电流。他们得到了充分的补偿和保护。
通道之间的匹配提供了所有关键参数,包括输入偏移电压、偏移电压对温度的跟踪、不可逆偏置电流和共模抑制比。
简化示意图

模具特性

典型性能特征–OP220







OP220仪表放大器的应用
双运算放大器配置
OP220出色的输入特性使其非常适合用于仪表放大器配置中,其中低电平差分信号将被放大。低噪声、低输入偏移、低漂移、高增益以及优良的共模抑制比为高性能仪表放大器提供了所需的特性。此外,电源的电流消耗非常低。
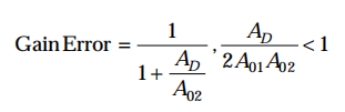
图4中的电路推荐用于共模输入范围相对较低且差分增益在10到1000范围内的应用。这两个运算放大器仪表放大器具有共模抑制和差分增益独立调节的特点。输入阻抗非常高,因为两个输入都应用于非转换运算放大器输入。

输入电压表示为共模输入VCM加上差分输入VD。使比率R3/R4等于比率R2/R,以拒绝共模输入VCM。然后根据以下条件放大差分信号VD:

注意,增益可以通过调节RO独立地改变。
从动态范围、电阻温度匹配和放大器响应匹配的考虑,通常最好使RX、R2、R3和R4近似相等。将R1、R2、R3和R4指定为RN,可以进一步简化输出方程:

动态范围受A1和A2的限制;A1的输出为:

如果仪表放大器的设计增益为10,最大VD为±1 V,则RN/RO需要为4,VO最大为±10 V。放大器A1的最大输出为±5 V加上2 VCM,因此A1输出的±10 V限制意味着VCM的限制为±2.5 V。
RN的标称值100 kW适用于大多数应用。RO的200 W至25 kW范围将提供10至1000的增益范围。通过RO的电流是VD/RO,因此当增益达到最大值1000且VD为±10mv时,放大器必须提供±10mv/200w。
在低电平中,最重要的是抑制差分输入。两个因素决定了仪表放大器配置的CMR(假设增益无限):
1.运算放大器的CMRR
2.电阻网络匹配(R3/R4=R2/R1)
在这种仪表放大器配置中,由于CMRR效应引起的误差与运算放大器的差分CMRR成正比。对于OP220A/E,该组合CMRR最小为98 dB。组合的CMRR值为100db,共模输入范围为±2.5v,表明峰值输入误差仅为±25mv。
电阻匹配是影响共模抑制比的另一个因素。将Ad定义为仪表放大器的差分增益,并假设R1、R2、R3和R4大致相等(RN为标称值),则CMRR约为Ad除以4DR/RN。差分增益为100时的共模抑制比为88分贝,电阻匹配为0.1%。微调R1使比率R3/R4等于R2/R1将直接提高CMRR,直到它受到线性和电阻稳定性的限制。
OP220的高开环增益对于实现双运放仪表放大器配置的高精度非常重要。增益误差可近似为:

其中AD是仪表放大器的差分增益,A02是运算放大器A2的开环增益。此分析假定R1、R2、R3和R4的值相等。例如,考虑一个A02为700 V/mV的OP220。如果差分增益AD设置为700,增益误差将为1/1.001,约为0.1%。
有限运放增益的另一个影响是不希望的共模输入馈通。将A01定义为运算放大器A1的开环增益,则由该效应引起的输出共模误差(CME)约为:

对于AD/A01,<1,这简化为(2 AD/A01)VCM。如果运算放大器增益为700 V/mV,VCM为2.5 V,并且AD设置为700,则由于该效应而导致的输出误差约为5 mV。
OP220提供了一个独特的组合优良的直流性能,宽输入范围,低电源电流消耗,这是特别有吸引力的仪表放大器设计。
三运算放大器配置
建议使用OP220和OP777的三运放仪表放大器配置,用于需要高精度、宽增益范围的应用。该电路在较宽的输入范围内提供良好的共模抑制能力。和两个运算放大器仪表放大器电路一样,两个运算放大器的紧密匹配提供了一个真正的性能提升。

简化的示意图如图2所示。输入级(A1和A2)用于放大差分输入VD而不放大共模电压VCM。输出级然后拒绝共模输入。在理想运算放大器和无电阻匹配误差的情况下,每个放大器的输出将为:

差分增益AD为1+2R1/RO,共模输入VCM被拒绝。
这三个运算放大器仪表放大器配置在输入端使用一个OP220,在输出端使用一个OP777,在很宽的增益范围内提供了出色的性能,功耗非常低。增益范围为1到2000是可行的,超过120分贝的共模比是容易实现的。
外形尺寸
尺寸单位为英寸和(毫米)


安芯科创是一家国内芯片代理和国外品牌分销的综合服务商,公司提供芯片ic选型、蓝牙WIFI模组、进口芯片替换国产降成本等解决方案,可承接项目开发,以及元器件一站式采购服务,类型有运放芯片、电源芯片、MO芯片、蓝牙芯片、MCU芯片、二极管、三极管、电阻、电容、连接器、电感、继电器、晶振、蓝牙模组、WI模组及各类模组等电子元器件销售。(关于元器件价格请咨询在线客服黄经理:15382911663)
代理分销品牌有:ADI_亚德诺半导体/ALTBRA_阿尔特拉/BARROT_百瑞互联/BORN_伯恩半导体/BROADCHIP_广芯电子/COREBAI_芯佰微/DK_东科半导体/HDSC_华大半导体/holychip_芯圣/HUATECH_华泰/INFINEON_英飞凌/INTEL_英特尔/ISSI/LATTICE_莱迪思/maplesemi_美浦森/MICROCHIP_微芯/MS_瑞盟/NATION_国民技术/NEXPERIA_安世半导体/NXP_恩智浦/Panasonic_松下电器/RENESAS_瑞莎/SAMSUNG_三星/ST_意法半导体/TD_TECHCODE美国泰德半导体/TI_德州仪器/VISHAY_威世/XILINX_赛灵思/芯唐微电子等等
免责声明:部分图文来源网络,文章内容仅供参考,不构成投资建议,若内容有误或涉及侵权可联系删除。
Copyright © 2002-2023 深圳市安芯科创科技有限公司 版权所有 备案号:粤ICP备2023092210号-1