特征
单/双电源操作:1.6 V至36 V,±0.8V至±18V
真正的单电源操作;输入和输出电压范围包括接地
低电源电流:最大20 A
高输出驱动:5mA最小值
低输入偏移电压:最大150 V
高开环增益:700 V/mV Min
卓越PSRR:5.6 V/V最大值
标准741引脚输出,零位至V–
一般说明
OP90是一种高性能、微功耗运算放大器,从1.6 V到36 V的单电源或从±0.8 V到±18 V的双电源工作。输入电压范围包括负极导轨,允许OP90在单电源操作中向下调节输入信号。OP90的输出摆幅还包括一个接地,当从一个单一的电源运行时,可以实现“零入零出”操作。
OP90的静态供电电流小于20μA,同时能够向负载提供超过5 mA的输出电流。输入偏移电压低于150μV,无需外部调零。增益超过700000,共模抑制优于100db。在电池供电系统中,低于5.6μV/V的电源抑制比将偏置电压变化降至最低。
OP90提供的低失调电压和高增益为微功耗应用带来了精确性能。OP90的最低电压和电流要求适合电池和太阳能应用,如便携式仪器、遥感器和卫星。
引脚连接


OP90–典型性能特征



申请信息
电池供电应用
OP90可以在1.6V的最小电源电压下工作,或者在±0.8V的双电源条件下工作,并且只需要14Pa的电源电流。在许多由电池供电的电路中,OP90可以在需要更换电池之前连续运行数千小时,从而减少设备停机时间和运行成本。
高性能便携式设备和仪器经常使用锂电池,因为与旧的原电池相比,锂电池的保质期长、重量轻、能量密度高。大多数锂电池的标称输出电压为3V,以平坦放电特性著称。OP90的低电源电压要求,加上锂电池的平坦放电特性,表明OP90可以在电池的整个使用寿命内运行。图1显示了为OP90供电的1Ah锂电池的典型放电特性,而OP90反过来又将输出摆幅驱动到100kΩ负载。


输入电压保护
OP90使用PNP输入级,保护电阻与逆变和非逆变输入串联。PNP晶体管的高击穿与保护电阻相结合,提供了大量的输入保护,使得输入可以在任何一个电源之外获得20 V的电压,而不会损坏放大器。
偏移调零
图4中的偏移零位电路提供了6毫伏的偏移调整范围。如图5所示,将100 kΩ电阻器与偏移零位电位计的刮片串联在一起,可将偏移调整范围减小到400μV,建议用于需要高零位分辨率的应用。偏移零位不会影响TCVOS性能。
测试电路


单电源输出电压范围
在单电源操作中,OP90的输入和输出范围包括接地。这允许真正的“零入零出”手术室输出级提供主动下拉至离地0.8伏左右。低于此水平时,需要高达1 MΩ的负载电阻才能将输出拉低至零。
在从地到0.8 V的范围内,OP90的电压增益等于数据表规格。输出电流源能力在包括接地在内的整个电压范围内保持。
应用
电池供电参考电压
图6中的电路是一个电池供电的基准电压,它只消耗17μa的电源电流。在这个水平上,两个AA细胞可以在18个月内为这个参考提供能量。当输出电压为1.23 V@25°C时,在工业温度范围内,基准漂移仅为5.5μV/°C。负载调节为85μV/mA,线路调节为120μV/V。
基准源的设计基于带隙技术。电阻R1和R2的缩放会在Q1和Q2产生不相等的电流。由此产生的VBE失配在R3上产生温度比例电压,进而在R4和R5之间产生更大的温度比例电压。这个电压出现在与Q1的VBE相加的输出端,Q1的温度系数相反。在25°C时将输出调整到1.23 V,可产生最小的温度漂移。带隙基准可以有启动问题。在R1和R2没有电流的情况下,OP90超出了正输入范围限制,并且具有未定义的输出状态。将引脚5(偏移调整引脚)短路到地上,在这些条件下迫使输出高,确保可靠启动,而不会显著降低OP90的偏移漂移。

单运放全波整流器
图7显示了一个全波整流电路,该电路可提供高达±2.5 V的输入信号的绝对值,即使是从单个5 V电源供电。对于负输入,放大器充当单位增益反相器。正信号迫使运算放大器输出接地。1N914二极管反向偏压,信号通过R1和R2到达输出端。由于输入阻抗的不对称性取决于输出阻抗。对于恒定负载阻抗,可通过降低R2来校正。第二个OP90可以缓冲变化或重负载。图8显示了带有4vp-p,10hz输入信号的全波整流器的输出。


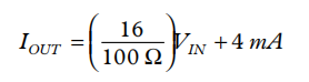
2线4毫安至20毫安电流变送器
图9中的电流变送器提供4毫安至20毫安的输出,输出电压与输入电压成线性比例。变送器的线性度超过0.004%,线路抑制为0.0005%/volt。
电流变送器的偏置由REF-02EZ提供。OP90EZ调节输出电流,以满足非换向节点的电流总和:

对于图9所示的值,


输出满标度为20毫安,输入为100毫伏。R2的调整将提供偏移微调,R1的调整将提供增益微调。这些微调不相互作用,因为OP90的非转换输入位于虚拟地面。肖特基二极管,D1,防止输入电压尖峰拉低非反转输入超过300毫伏的逆变输入。如果没有二极管,这种尖峰会导致OP90的相位反转,并可能导致发射机锁死。该电路的柔度从10伏到40伏。电压参考输出可提供高达2毫安的传感器励磁。
微功率压控振荡器
两个OP90与一个廉价的四元CMOS开关组合构成图10所示的精密VCO。该电路提供三角形和方波输出,仅从一个5V电源中提取50μA的电流。A1充当积分器;S1对称地切换充电电流,产生正、负斜坡。积分器以A2为界,A2作为施密特触发器,精确滞后为1.67V,由电阻R5、R6和R7以及相关CMOS开关设置。A1的输出是一个三角波,上下电平分别为3.33V和1.67V。A2的输出是一个方波,几乎有轨对轨摆动。如图所示,操作频率由以下等式给出:

但这很容易通过改变C1来改变。电路在几百赫兹以下工作良好。
微功率单电源仪表放大器
图11中的简单仪表放大器提供超过110分贝的共模抑制,并且只吸收15μA的电源电流。反馈给微调管脚,而不是反向输入。这使得单个放大器能够提供不同于单端的转换,具有优异的共模抑制能力。仪表放大器的失真是差分对的失真,因此电路仅限于高增益应用。在2.5v的输出范围内,当增益为500~1000时,非线性度小于0.1%。电阻器R3和R4设置电压增益,并在显示的值下产生1000的增益。仪表放大器的增益温度仅为50 ppm/°C。
偏移电压低于150μV,漂移低于2μV/°C。OP90的输入和输出电压范围包括负轨,允许仪表放大器提供真正的“零输入、零输出”操作。


单电源电流监测器
电流监测基本上包括放大电阻上的电压降,电阻与被测电流成一系列。困难在于,只有很小的电压降是可以容忍的,而低精度运算放大器则大大限制了整体分辨率。图12中的单电源电流监测器的分辨率为10μa,能够监测30 mA的电流。可通过改变电流检测电阻器R1来调整该范围。在测量系统总电流时,可能需要在最终结果中包括电流监测器的电源电流,该电流监测器绕过电流检测电阻器。
通过调整偏移微调电位计R2,可以测量和校准该电流(连同剩余偏移)。这会产生一个与温度有关的故意偏移。然而,OP90的供电电流也与温度成正比,这两种效应往往轨道电流在R4和R5中,也绕过R1,可以通过增益微调来解释。

外形尺寸
尺寸单位为英寸和(mm)。



安芯科创是一家国内芯片代理和国外品牌分销的综合服务商,公司提供芯片ic选型、蓝牙WIFI模组、进口芯片替换国产降成本等解决方案,可承接项目开发,以及元器件一站式采购服务,类型有运放芯片、电源芯片、MO芯片、蓝牙芯片、MCU芯片、二极管、三极管、电阻、电容、连接器、电感、继电器、晶振、蓝牙模组、WI模组及各类模组等电子元器件销售。(关于元器件价格请咨询在线客服黄经理:15382911663)
代理分销品牌有:ADI_亚德诺半导体/ALTBRA_阿尔特拉/BARROT_百瑞互联/BORN_伯恩半导体/BROADCHIP_广芯电子/COREBAI_芯佰微/DK_东科半导体/HDSC_华大半导体/holychip_芯圣/HUATECH_华泰/INFINEON_英飞凌/INTEL_英特尔/ISSI/LATTICE_莱迪思/maplesemi_美浦森/MICROCHIP_微芯/MS_瑞盟/NATION_国民技术/NEXPERIA_安世半导体/NXP_恩智浦/Panasonic_松下电器/RENESAS_瑞莎/SAMSUNG_三星/ST_意法半导体/TD_TECHCODE美国泰德半导体/TI_德州仪器/VISHAY_威世/XILINX_赛灵思/芯唐微电子等等
免责声明:部分图文来源网络,文章内容仅供参考,不构成投资建议,若内容有误或涉及侵权可联系删除。
Copyright © 2002-2023 深圳市安芯科创科技有限公司 版权所有 备案号:粤ICP备2023092210号-1