特征
单电源运行
宽带:4MHz
低失调电压:65μV
单位增益稳定
高转换率:4.0V/μs
低噪声:3.9 nV/√Hz
应用
电池供电仪表
电源控制和保护
电信
DAC输出放大器
ADC输入缓冲器
一般说明
OP184/OP284/OP484是单电源、双电源和四路单电源、4MHz带宽放大器,具有轨对轨输入和输出。它们保证在3V到36V(或±1.5V到±18V)的电压范围内工作,并且在1.5V的电压下工作。
这些放大器对于需要交流和精密直流性能的单电源应用来说是一流的。结合了带宽、低噪声和精度,OP184/OP284/OP484可用于多种应用,包括滤波器和仪器仪表。
这些放大器的其他应用包括便携式电信设备、电源控制和保护,以及作为宽输出范围传感器的放大器或缓冲器。需要轨对轨输入放大器的传感器包括霍尔效应、压电式和电阻式传感器。
在输入和输出端摆轨的能力使设计人员能够在单电源系统中构建多级滤波器,并保持高信噪比。
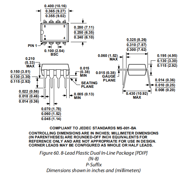
OP184/OP284/OP484在热扩展工业温度范围内(-40°C至+125°C)指定。单根可采用8线SOIC表面安装封装。双通道有8线PDIP和SOIC表面安装封装。四路OP484有14线PDIP和14线窄体SOIC封装。
引脚配置



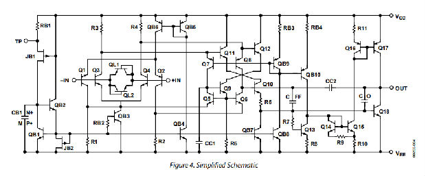
简化示意图

典型性能特征













应用程序信息
功能描述
OP184/OP284/OP484是精密单电源、轨对轨运算放大器。针对便携式仪器市场,OPx84系列设备结合了精度、宽带宽和低噪声的特性,使其成为需要交流和精密直流性能的单电源应用的最佳选择。OP284非常适合的其他低电源电压应用包括有源滤波器、音频麦克风前置放大器、电源控制和电信。为了将所有这些属性与轨对轨输入/输出操作相结合,采用了新的电路设计技术。

例如,图44示出了用于OP184/OP284/OP484的输入级的简化等效电路。它包括NPN差分对Q1→Q2和PNP差分对,Q3→Q4,同时运行。二极管网络D1→二极管网络D2用于将施加的差分输入电压钳制到OP284,从而保护输入晶体管免受雪崩损坏。输入级电压增益保持在较低的输入轨对轨运行。两对差分输出电压被连接到OP284的第二级,这是一个复合折叠级联增益级。它还处于第二增益级,其中两对差分输出电压被组合成一个单端输出信号电压,用于驱动输出级。输入阶段的一个关键问题是输入偏置电流在输入共模电压范围内的行为。OP284中的输入偏置电流是Q1→Q3和Q2→Q4中基极电流的算术和。由于这种设计方法,OP284中的输入偏置电流不仅表现出不同的振幅,而且表现出不同的极性。这种效果最好的说明是图10。因此,至关重要的是,连接到OP284输入端的有效源阻抗要平衡,以获得最佳的直流和交流性能。
为了实现轨对轨输出,对OP284输出级进行了设计采用一种独特的拓扑结构来产生和吸收电流。该电路拓扑如图45所示。输出级由第二级增益级电压驱动。通过输出级的信号通路是反向的;也就是说,对于正输入信号,Q1为Q6提供基极电流驱动以便它传导(吸收)电流。对于负输入信号,通过Q1→Q2→D1→Q4→Q3的信号通路为Q5传导(源)电流提供了基极电流驱动。两个放大器都提供输出电流,直到它们被强制进入饱和状态,饱和发生在距负电源轨约20毫伏和正极供电轨约100毫伏时。

因此,输出晶体管的饱和电压设置OP284最大输出电压摆幅的限制。输出短路电流限制由从第二个增益级进入Q1基极的最大信号电流决定。在输出短路条件下,该输入电流电平约为100μA。晶体管电流增益约为200,短路电流限值通常为20 mA。输出级也显示出电压增益。这是通过使用公共发射极放大器来实现的,因此,输出级的电压增益(因此,器件的开环增益)表现出与OP284输出处的总负载电阻的依赖关系。
输入过压保护
与任何半导体器件一样,如果存在向器件施加的输入电压超过任一电源电压的情况,则必须考虑器件的输入过电压I-V特性。当发生过电压时,放大器可能会损坏,这取决于外加电压的大小以及故障电流的大小。图46显示了OP284的过电压I-V特性。这个图形是由连接到GND的电源引脚和连接到输入的曲线跟踪器的集电极输出驱动器生成的。

如图46所示,与OP284相连的内部p-n结通电,当输入比各自的电源轨高1.8 V和负0.6 V时,允许电流从输入流到电源。如图44所示的简化等效电路所示,OP284没有任何内部限流电阻;因此,故障电流可以迅速上升到破坏性水平。
该输入电流不会对设备造成固有损害,前提是限制在5毫安或以下。对于OP284,一旦输入超过负电源0.6 V,输入电流迅速超过5 mA。如果这种情况继续存在,则应以额外的热噪声为代价增加一个外部串联电阻器。图47所示为过压保护放大器的典型非转换配置,其中串联电阻RS的选择如下:

例如,1 kΩ电阻器保护OP284不受电源上下5V输入信号的影响。对于使用两个输入的其他配置,则应使用串联电阻器保护每个输入以防滥用。同样,为了确保最佳的直流和交流性能,建议平衡电源阻抗水平。

输出相位反转
一些为单电源工作而设计的运算放大器,当其输入被驱动超过其有效共模范围时,会出现输出电压相位反转。通常,对于单电源双极型运算放大器,负电源决定其共模范围的下限。与这些器件是外部箝位二极管,阳极接地,阴极接输入,防止输入信号偏移超过器件的负电源(即GND),防止出现导致输出电压相位变化的情况。JFET输入放大器也可以显示相位反转,如果是这样,通常需要一个串联输入电阻来防止它。
只要输入电压不超过电源电压,OP284就不受合理的输入电压范围限制。尽管器件输出不改变相位,但是大电流可以流过输入保护二极管,如图46所示。因此,输入过电压保护部分中建议的技术应适用于输入电压超过电源电压的可能性很高的应用。
单电源应用中的低噪声电路设计
在单电源应用中,像OP284这样的设备通过使用轨对轨操作来扩展应用的动态范围。事实上,OPx84系列是同类产品中第一款将单电源、轨对轨运行和低噪音结合在一起的产品。它是业界第一个在1khz下显示输入噪声电压频谱密度小于4nv/√Hz的器件。它还专门为低噪声、单电源应用而设计,因此,对单电源应用中的电路噪声概念进行一些讨论是适当的。
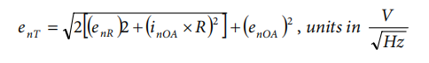
参考图48所示的运算放大器噪声模型电路配置,源电阻水平Rs的放大器总等效输入噪声电压的表达式如下所示:

其中:
RS=2R是有效或等效的电路源电阻。
(enOA)2是运算放大器等效输入噪声电压频谱功率(1hzbw)。
(inOA)2是运算放大器等效输入噪声电流频谱功率(1hzbw)。
(enR)2是源电阻热噪声电压功率(4ktr)。
k=玻尔兹曼常数=1.38×10–23 J/k。
T是电路的环境温度,单位为Kelvins=273.15+TA(°C)。

作为设计辅助,图49显示了OP284的总等效输入噪声和电阻器的总热噪声,以便进行比较。注意,对于小于1kΩ的源电阻,OP284的等效输入噪声电压占主导地位。

由于电路信噪比是最终分析的关键参数,因此电路的噪声特性通常用噪声系数NF来表示。噪声系数是指电路的输出信噪比和输入信噪比。以dB为单位的电路NF的表达式,以及先前定义的运算放大器电压和电流噪声参数,由下式给出:

其中:
NF(dB)是电路的噪声系数,用dB表示。
RS是提供给放大器的有效或等效源电阻。
(enOA)2是OP284噪声电压频谱功率(1 Hz BW)。
(inOA)2是OP284噪声电流频谱功率(1hzbw)。
(enRS)2是源电阻热噪声电压功率=(4kTRS)。
电路噪声系数很容易计算,因为在应用中不需要信号电平来确定它。然而,许多使用NF计算作为获得最佳信噪比基础的设计者认为,低噪声系数等于低总噪声。事实上,恰恰相反,如图50所示。这里,OP284的噪声系数表示为源电阻电平的函数。请注意,OP284的最低噪声系数出现在10 kΩ的源电阻水平。然而,图49显示,该源电阻电平和OP284产生约14 nV/√Hz的总等效电路噪声。在应用中,信号电平不变地增加以使电路信噪比最大化,这在低压、单电源应用中不是一个选项。

因此,在单电源应用中,为了获得最佳的电路信噪比,建议选择等效输入噪声电压最低的运算放大器,并选择与保持低总电路噪声一致的源电阻电平。
超速恢复
运算放大器的过驱动恢复时间是输出电压从饱和状态恢复到其线性区域所需的时间。在放大器必须在大的瞬态事件后迅速恢复的应用中,恢复时间很重要。图51所示电路用于评估OP284过载恢复时间。OP284从正饱和恢复约2μs,从负饱和恢复约1μs。

单电源,3V仪表放大器
OP284的低噪声、宽带宽和轨对轨输入/输出操作使其成为低电源电压应用的理想选择,如图52所示的双运放仪表放大器。该电路使用经典的双运放仪表放大器拓扑和四个电阻来设置增益。电路的传输方程与无反转放大器的传输方程相同。电阻器R2和电阻器R3应紧密匹配,以及电阻器(R1+P1)和电阻器R4,以确保良好的共模抑制性能。电阻网络应用于R2和R3电路中,因为它们表现出良好性能所需的相对公差匹配。匹配网络也显示出紧密的相对电阻温度系数,以获得良好的电路温度稳定性。微调电位计P1用于优化直流CMR调整,C1用于优化交流CMR。电路值如图所示,在20赫兹到20千赫的频率范围内,电路CMR优于80分贝。0.1 Hz至10 Hz频带内的电路RTI(指输入)噪声非常低,为0.45μV p-p。电阻器RP1和电阻器RP2用于保护OP284输入,防止输入过压滥用。电容器C2可以包括在限制电路带宽内,因此,在敏感应用中宽带噪声。该电容器的值应根据电路所需的闭环带宽进行调整。R4到C2的时间常数以等于

来自3 V电源的2.5 V参考电压
在许多单电源应用中,经常需要2.5 V参考电压。许多商用单片2.5 V参考电压至少需要4 V的最小工作电源。当最小工作电源电压为3 V时,问题更加严重。图53中所示的电路是一个2.5 V参考电压的示例,该参考电压由单个3 V电源供电。该电路利用OP284轨间输入/输出电压范围,将AD589的1.235V输出放大到2.5V。

OP284在1.5μV/°C下的低TCVO有助于维持由R2和R3温度系数控制的输出电压温度系数。在这个带有100 ppm/°C TCR电阻器的电路中,输出电压的温度系数为200 ppm/°C。建议使用温度较低的电阻器,以获得更精确的超温性能。
衡量电压基准性能的一个指标是它从负载电流的突然变化中恢复的能力。当稳态负载电流为1mA时,该电路在1.5μs内恢复到编程输出电压的0.01%,负载电流的总变化为±1mA。

仅5V,12位DAC轨对轨摆动
OP284非常适合与CMOS DAC一起使用,以产生具有宽输出范围的数字控制电压。图54所示为与AD589一起使用的DAC8043,用于产生从0 V到1.23 V的电压输出。DAC实际上在电压开关模式下工作,其中基准连接到电流输出IOUT,输出电压为取自VREF引脚。与传统的电流输出模式相反,这种拓扑本质上是不可逆的,在单电源应用中不可用。

在这个应用程序中,OP284提供两个功能。首先,它缓冲了DAC的VREF引脚的高输出阻抗,大约为10kΩ。运算放大器提供低阻抗输出,以驱动任何后续电路。
其次,运算放大器放大输出信号,以提供轨对轨输出摆动。在这种特殊情况下,增益被设置为4.1,以便当DAC输出为满标度时,电路产生5v输出。如果需要其他的输出电压范围,如0V≤VOUT≤4.095V,则可以通过调整R2和R3的值来轻松改变增益。
高压侧电流监测器
在电源控制电路的设计中,大量的设计工作都集中在确保通流晶体管在广泛的负载电流条件下的长期可靠性。因此,在这些设计中,监控和限制设备功耗是最重要的。图55中所示的电路是一个3V单电源高压侧电流监测器的示例,该监测器可并入具有可折叠限流功能的电压调节器或具有撬杆保护的大电流电源的设计中。该设计使用OP284的轨对轨输入电压范围来检测0.1Ω电流分流器上的电压降。电路中用作反馈元件的P沟道MOSFET将运算放大器的差分输入电压转换为电流。该电流被施加到R2上以产生一个电压,该电压是负载电流的线性表示。电流监视器的传输方程如下所示:

对于显示的元件值,监视器输出的传输特性为2.5 V/A。

电容负载驱动能力
OP284具有出色的电容负载驱动能力。它最多可以驱动1nF,如图28所示。即使设备是稳定的,电容性负载也不会带来带宽上的损失。对于大于2nF的负载,带宽减小到小于1MHz。输出端的缓冲网络不会增加带宽,但它确实可以显著减少给定电容性负载的超调量。
缓冲器由一个串联的R-C网络(RS,CS)组成,如图56所示,从设备的输出端连接到地面。该网络与负载电容器CL并联工作,以提供必要的相位滞后补偿。电阻和电容的值最好是根据经验确定的。

第一步是确定电阻RS的值。一个好的起始值是100Ω(通常,最佳值小于100Ω)。该值减小,直到小信号瞬态响应得到优化。接下来,测定CS;10μF是一个好的起点。该值减小到可接受性能的最小值(通常为1μF)。对于OP284上10nF负载电容器的情况,最佳缓冲网络为20Ω串联1μF。好处很明显,如图57中的示波器照片所示。顶部记录道在1 nF负载下采集,底部记录道在50Ω、100 nF缓冲网络就位的情况下采集。过冲和响铃的数量是惊人的减少。表6显示了一些用于大型负载电容器的缓冲网络示例。


限流低压差调节器
许多电路需要稳定的、可调节的电压,电压相对接近未经调节的输入源。这种低压差类型的稳压器很容易与一个轨对轨输出运放实现,例如OP284,因为宽输出摆幅允许容易驱动低饱和电压通过装置。此外,当运算放大器还采用轨对轨输入特性时,它特别有用,因为这一因素允许它执行高侧电流感应,以实现正轨电流限制。典型的例子是从3V到9V范围的系统电源或任何需要低电压降性能以提高功率效率的电压。这个4.5V的例子工作在5V的标称电源上,最坏情况下的电平降到4.6V或少。数字58显示了这样一个调节器设置,使用一个OP284加上一个低RDS(ON)的P沟道MOSFET通过器件。该电路的部分低压差性能由Q1提供,其额定值为0.11Ω,栅极驱动电压仅为2.7 V。此相对较低的栅极驱动阈值允许调节器在低至3V的电源上运行,而不会影响整体性能。
电路的主电压控制回路操作由OP284的一半U1B提供。这个电压控制放大器的终端电压是192。然后调节输出电压:

在本例中,由于VOUT为4.5 V且VOUT2=2.5 V时,U1B增益为1.8倍,因此选择R3和R2的比率为1.2:1或10.0 kΩ:8.06 kΩ(使用最接近的1%值)。注意,对于最低的VOUT dc误差,R2 | R3应保持等于R1(如本例所示),R2至R3电阻器应为稳定的、公差接近的金属膜类型。图58中的表格总结了一些常用电压的R1到R3值。然而,请注意,一般情况下,输出可以在VOUT2和12伏最大额定值Q1之间的任何地方。
Q1的低电压饱和特性是低压差的关键部分,另一个组成部分是具有良好直流精度的低电流感应比较阈值。这里,这是由电流检测放大器U1A提供的,它由来自1.235v的20毫伏参考电压、AD589参考二极管D2和R7到R8分频器提供。当输出电流和RS值的乘积与该电压阈值匹配时,电流控制回路被激活,U1A通过D1驱动Q1栅极。这会导致整个电路操作进入电流模式控制,电流限制ILIMIT定义为:


很明显,保持这个比较电压很小是可取的,因为它成为整个电压损失的一个重要部分。这里,20毫伏参考电压高于OP284的典型偏移量,但作为VOUT的百分比仍然相当低(<0.5%)。在使限制器适应其它ILIMIT电平时,感测电阻器RS应与R7至R8一起调整,以保持该阈值电压在20 mV和50 mV之间。
电路性能优良。对于4.5 V输出版本,225 mA负载变化下测得的直流输出变化约为几微伏,而在相同电流水平下的压降电压约为30毫伏。如图所示,电流限制为400毫安,允许电路在高达300毫安或更高的电平下使用。而Q1设备实际上可以支持几安培的电流,实际的额定电流考虑了SOIC-8器件的2.5W,25°C的损耗。由于输入电平为5V时400毫安的短路电流会导致Q1中的2 W损耗,因此应根据Q1的潜在过热仔细考虑其他输入条件。当然,如果Q1使用更高功率的器件,这个电路可以支持几十安培的输出以及已经提到的更高的VOUT电平。
所示电路可作为标准低压差调节器使用,也可用于开/关控制。利用可选逻辑控制信号VC驱动U1的3号引脚,输出在开关之间切换。请注意,当此电路中的输出断开时,它仍处于激活状态(即不是开路)。这是因为关闭状态只是将输入电压降低到R1,使得U1A/U1B放大器和Q1仍然有效。
当使用开/关控制时,电阻器R10应与U1一起使用,以加速开/关切换,并允许电路输出稳定到标称零电压。组件D3和组件R11还通过为C2提供动态放电路径来帮助加速开关转换。开关转换时间小于1ms,而开关转换时间较长,但小于10ms。
3 V,50 HZ/60 HZ有源陷波滤波器,带假接地
在单一供电系统中处理信号,通常最好使用假接地偏置方案。使用这种方法的电路如图59所示。在该电路中,假接地电路使有源陷波滤波器偏置,该有源陷波滤波器用于抑制便携式患者监护设备中的50赫兹/60赫兹电源线干扰。
陷波滤波器通常用于抑制电力线频率干扰,这些干扰通常会掩盖低频生理信号,如心率、血压读数、脑电图和心电图。这种陷波滤波器有效地抑制了滤波器Q为0.75的60赫兹拾波。用3.16 kΩ电阻器代替Twin-T段(R1至R5)中的2.67 kΩ电阻器,配置有源滤波器以抑制50 Hz干扰。

放大器A3是假接地偏置电路的核心。它缓冲在R9和R10产生的电压,是有源陷波滤波器的参考。由于OP484具有轨对轨输入共模范围,因此选择R9和R10对称地分断3v电源。在OP484周围使用了一个在环补偿方案,允许运算放大器驱动C6,一个1μF的电容,而没有振荡。C6在滤波器的工作频率范围内保持低阻抗交流接地。
滤波器部分采用双T结构的OP484,其频率选择性对双T段中电容和电阻的相对匹配非常敏感。聚脂薄膜是电容器的首选材料,电容器和电阻的相对匹配决定了滤波器的通带对称性。使用1%的电阻和5%的电容可以产生令人满意的结果。
外形尺寸





安芯科创是一家国内芯片代理和国外品牌分销的综合服务商,公司提供芯片ic选型、蓝牙WIFI模组、进口芯片替换国产降成本等解决方案,可承接项目开发,以及元器件一站式采购服务,类型有运放芯片、电源芯片、MO芯片、蓝牙芯片、MCU芯片、二极管、三极管、电阻、电容、连接器、电感、继电器、晶振、蓝牙模组、WI模组及各类模组等电子元器件销售。(关于元器件价格请咨询在线客服黄经理:15382911663)
代理分销品牌有:ADI_亚德诺半导体/ALTBRA_阿尔特拉/BARROT_百瑞互联/BORN_伯恩半导体/BROADCHIP_广芯电子/COREBAI_芯佰微/DK_东科半导体/HDSC_华大半导体/holychip_芯圣/HUATECH_华泰/INFINEON_英飞凌/INTEL_英特尔/ISSI/LATTICE_莱迪思/maplesemi_美浦森/MICROCHIP_微芯/MS_瑞盟/NATION_国民技术/NEXPERIA_安世半导体/NXP_恩智浦/Panasonic_松下电器/RENESAS_瑞莎/SAMSUNG_三星/ST_意法半导体/TD_TECHCODE美国泰德半导体/TI_德州仪器/VISHAY_威世/XILINX_赛灵思/芯唐微电子等等
免责声明:部分图文来源网络,文章内容仅供参考,不构成投资建议,若内容有误或涉及侵权可联系删除。
Copyright © 2002-2023 深圳市安芯科创科技有限公司 版权所有 备案号:粤ICP备2023092210号-1