特征
低功率
2.3 mA最大供电电流
低噪音
3.2 nV/√Hz 1 kHz时的最大输入电压噪声
1 kHz时为200 fA/√Hz电流噪声
卓越的交流规格
10 MHz带宽(G=1)
2 MHz带宽(G=100)
0.6μs沉淀时间至0.001%(G=10)
80分贝(RR=20千赫时)
35 V/μs转换率
高精度直流性能(AD8421BRZ)
最小94 dB CMRR(G=1)
0.2μV/°C最大输入偏移电压漂移
1 ppm/°C最大增益漂移(G=1)
500Pa最大输入偏置电流
从40 V到电源的保护输入
±2.5 V至±18 V双电源(5 V至36 V单电源)
单电阻增益设置(G=1至10000)
应用
医疗器械
精密数据采集
麦克风前置放大
振动分析
多路输入应用
ADC驱动器
一般说明
AD8421是一款低成本、低功耗、极低噪声、超低偏置电流、高速仪表放大器,非常适合于广泛的信号调节和数据采集应用。该产品具有极高的共模抑制比,使其能够在较宽的温度范围内,在高频共模噪声存在的情况下提取低电平信号。
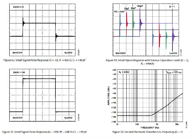
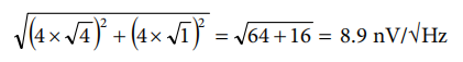
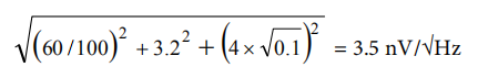
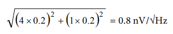
10 MHz带宽、35 V/μs转换率和0.6μs稳定时间到0.001%(G=10)允许AD8421放大高速信号,并在需要高信道数、多路复用系统的应用中表现出色。即使在更高的增益下,电流反馈结构仍保持高性能;例如,在G=100时,带宽为2mhz,稳定时间为0.8μs。AD8421具有优异的失真性能,适合于振动分析等要求较高的应用。
AD8421提供3nV/√Hz输入电压噪声和200FA/√Hz电流噪声,静态电流仅为2mA,是测量低电平信号的理想选择。对于高源阻抗的应用,AD8421采用了创新的工艺技术和设计技术,以提供仅受传感器限制的噪声性能。
AD8421使用独特的保护方法,以确保稳健的输入,同时仍然保持非常低的噪声。此保护允许从相反的电源轨输入高达40 V的电压,而不会损坏零件。
一个电阻将增益设置在1到10000之间。参考引脚可用于对输出电压施加精确的偏移。
AD8421的温度范围为−40°C至+85°C,并具有125°C的典型性能曲线。它有8线MSOP和SOIC封装。
引脚连接图


绝对最大额定值

1、对于超过这些限制的电压,使用输入保护电阻器。更多信息请参见操作理论部分。
2、从参考输入到每个电源都有ESD保护二极管,因此REF不能以与+in和−in can相同的方式驱动到电源之外。有关详细信息,请参阅参考端子部分。
超过绝对最大额定值的应力可能会对设备造成永久性损坏。这只是一个应力额定值;不暗示设备在本规范操作部分所述条件或任何其他条件下的功能操作。长时间暴露在绝对最大额定值条件下可能会影响设备的可靠性。
热阻
θJA是指在自由空气中使用4层JEDEC印刷电路板(PCB)的设备。

典型性能特征
TA=25°C,VS=±15 V,VREF=0 V,RL=2 kΩ,除非另有说明。



















操作理论

建筑
AD8421基于经典的3运放拓扑。这种拓扑有两个阶段:一个前置放大器提供差分放大,然后是一个差分放大器,消除共模电压。图61显示了AD8421的简化示意图。
拓扑上,Q1、A1、R1和Q2、A2、R2可以看作是精密电流反馈放大器。输入晶体管Q1和Q2以固定电流偏置,因此任何输入信号都会迫使A1和A2的输出电压相应地改变。应用于输入端的差分信号在RG引脚上复制。任何通过RG的电流也会流过R1和R2,在节点1和节点2之间产生一个获得的差分电压。
将放大的差分和共模信号应用于差分放大器,差分放大器拒绝共模电压,但保留放大的差分电压。差分放大器采用了创新技术,可以产生非常低的输出误差,如偏移电压和漂移、各种负载下的失真以及输出噪声。激光微调电阻允许高精度的放大器增益误差小于0.01%,共模抑制比超过94分贝(G=1)。高性能的引线和对设计和布局的特别关注,使其能够在较宽的频率和温度范围内实现高的CMRR性能。
AD8421采用superbeta输入晶体管和偏置电流补偿,提供极高的输入阻抗、低的偏置电流、低的偏置电流、低的电流噪声和3 nV/√Hz的极低电压噪声。电流限制和过电压保护方案允许输入从相反的轨道在所有增益40伏,而不损害噪声性能。
AD8421的传输函数是:

其中
用户可以使用一个标准电阻轻松准确地设置增益。
增益选择
在RG端子上放置一个电阻,设置AD8421的增益。可参考表6或使用以下增益方程计算增益:

当没有使用增益电阻时,AD8421默认为G=1。为了确定系统的总增益精度,将RG电阻的公差和增益漂移加到AD8421的规格中。不使用增益电阻时,增益误差和增益漂移最小。

RG功耗
AD8421将其输入端的差分电压复制到RG电阻器上。选择一个RG电阻大小,足以在环境温度下处理预期的功耗。
参考端子
AD8421的输出电压是根据参考端子上的电位来确定的。这可用于感测负载处的接地,从而利用CMRR抑制接地噪声或在输出端为信号引入精确的偏移。例如,可以将一个电压源连接到REF管脚上以电平偏移输出,从而允许AD8421驱动单电源ADC。REF引脚由ESD二极管保护,不得超过+VS或−VS超过0.3 V。
为获得最佳性能,保持REF端子的源阻抗低于1Ω。如图61所示,参考端子REF位于10 kΩ电阻器的一端。REF端子的附加阻抗增加到10 kΩ电阻,并导致连接到正极输入的信号放大。附加RREF的放大率可计算如下:

只有正信号通路被放大,负通路不受影响。这种不均匀放大降低了共模抑制比。

输入电压范围
AD8421的3运放架构在除去差分放大器级的共模电压之前,在第一级应用增益。第一级和第二级之间的内部节点(图61中的节点1和节点2)经历了获得信号、共模信号和二极管压降的组合。电压供应可以限制组合信号,即使单独的输入和输出信号不受限制。图10到图13详细显示了这种限制。
布局
为了确保AD8421在PCB级的最佳性能,在设计板布局时必须小心。AD8421的引脚以逻辑方式排列,以帮助完成这项任务。

共模抑制比
不良的布局会导致一些共模信号在到达放大器之前被转换成差分信号。当一条输入路径的频率响应与另一条不同时,就会发生这种转换。为了保持高共模抑制比过频,紧密匹配每个通路的输入源阻抗和电容。在输入路径(例如,输入保护电阻)靠近输入放大器的输入路径中放置额外的源电阻,以尽量减少电阻与PCB线路寄生电容的相互作用。
增益设置引脚(RG)处的寄生电容也会影响CMRR过频。如果电路板设计在增益设置引脚处有一个元件(例如,开关或跳线),则选择寄生电容尽可能小的元件。
电源和接地
使用稳定的直流电压为仪表放大器供电。电源引脚上的噪声会对性能产生不利影响。
将0.1μF电容器放置在尽可能靠近每个电源引脚的位置。由于旁路电容器引线的长度在高频下至关重要,建议使用表面贴装电容器。旁路接地轨迹中的任何寄生电感都会对旁路电容器产生的低阻抗起作用。如图64所示,10μF电容器可在离设备较远的地方使用。对于这些希望在较低频率下有效的较大值电容器,电流返回路径距离不那么重要。在大多数情况下,10μF电容器可以被其它本地精密集成电路共用。

接地板层有助于降低寄生电感,从而使电流变化时的电压降降至最低。电流路径的面积与寄生电感的大小成正比,因此,在高频下,路径的阻抗也成正比。感应去耦路径或接地回路中电流的较大变化会产生不必要的影响,因为这些变化会耦合到放大器输入端。
由于负载电流来自电源,负载应连接在与旁路电容器接地相同的物理位置。
参考销
AD8421的输出电压是根据参考端子上的电位来确定的。确保REF连接到适当的本地接地。
输入偏置电流回路
AD8421的输入偏置电流必须有接地回路。当使用没有电流返回路径的浮动源(如热电偶)时,创建一个电流返回路径,如图65所示。

电源轨以外的输入电压
AD8421具有非常强大的输入。它通常不需要额外的输入保护,如图66所示。

AD8421的输入是受电流限制的;因此,输入电压可以高达40伏,从相反的电源轨,没有任何输入保护需要在所有增益。例如,如果+VS=+5 V和−VS=−8 V,零件可安全承受−35 V至+32 V的电压。
其余的AD8421端子应保留在电源内。AD8421的所有端子都有防静电保护。
输入电压超过最大额定值
对于AD8421遇到的电压超过绝对最大额定值表中的限值的应用,需要外部保护。这种外部保护取决于过电压事件的持续时间和所需的噪声性能。
金属保护器(如所有短时事件都需要金属氧化物保护器)。

对于较长的事件,使用电阻串联输入,结合二极管。为了避免降低偏置电流性能,建议使用低泄漏二极管,如BAV199或FJH1100。二极管防止放大器输入端的电压超过最大额定值,电阻器限制进入二极管的电流。由于大多数外部二极管可以轻松处理100毫安或更大,电阻值不需要很大,因此,对噪声性能的影响最小。
以某些噪声性能为代价,另一种解决方案是使用串联电阻器。在过电压的情况下,进入AD8421输入的电流受到内部限制。尽管AD8421输入必须保持在绝对最大额定值一节中定义的限值内,但通过保护电阻器的I×R压降增加了系统能够承受的最大电压,如下所示:
对于正输入信号

对于负输入信号

过电压性能如图14、图15、图16和图17所示。AD8421输入在室温下至少能承受40毫安的电流一天。此时间在设备的整个使用寿命内是累积的。如果预计会出现长时间的过电压,建议使用外部保护方法。在极端输入条件下,放大器的输出可能反转。
射频干扰(RFI)
当放大器用于具有强射频信号的应用时,射频整流常常是一个问题。如果将放大器连接到信号源需要长引线或PCB迹线,则问题会加剧。干扰可以表现为直流偏移电压或脉冲串。
高频信号可以用仪表放大器输入端的低通滤波器网络进行滤波,如图68所示。

电阻和电容值的选择取决于噪声、高频输入阻抗、共模抑制比、信号带宽和射频干扰抗扰度之间的理想权衡。RC网络同时限制差模和共模带宽,如下式所示:

其中CD≥10 CC。
CD影响差分信号,CC影响共模信号。正输入的R×CC和负输入的R×CC之间的不匹配降低了AD8421的CMRR。通过使用比CC大一个数量级的CD值,在截止频率附近降低了失配的影响,改善了CMRR的性能。
为了实现低噪声和充分的射频干扰滤波,建议使用片式铁氧体磁珠。铁氧体磁珠随频率增加其阻抗,从而使感兴趣的信号不受影响,同时防止射频干扰到达放大器。它们也有助于消除滤波器中大电阻值的需要,从而使系统的输入参考噪声最小化。选择合适的铁氧体磁珠和电容值是干扰频率、输入引线长度和射频功率的函数。
为了获得最佳效果,将RFI滤波器网络尽可能靠近放大器。布局是确保射频信号不会在滤波器后的记录道上拾取的关键。如果射频干扰太强而无法充分过滤,建议使用屏蔽。
用于RFI滤波器的电阻器可以与用于输入保护的电阻器相同。
计算输入级的噪声
放大器前端的总噪声取决于本数据表中的3.2 nV/√Hz规范。噪声的三个主要因素是:源电阻、仪表放大器的电压噪声和仪表放大器的电流噪声。
在以下计算中,噪声指的是输入(RTI)。换言之,所有的噪声源都被当作源出现在放大器输入端来计算。要计算放大器输出(RTO)的噪声,请将RTI噪声乘以仪表放大器的增益。
源电阻噪声
任何连接到AD8421的传感器都有一些输出电阻。也可以将电阻与输入串联,以防止过压或射频干扰。该组合电阻在图69中标记为R1和R2。任何电阻器,无论制造得多么好,都有其固有的噪声水平。这种噪声与电阻值的平方根成正比。在室温下,该值约等于4nV/√Hz×√(电阻值单位为kΩ)。

例如,假设传感器和保护的组合电阻在正极输入端为4 kΩ,在负极输入端为1 kΩ。输入电阻的总噪声为:

仪表放大器的电压噪声
仪表放大器的电压噪声采用三个参数计算:器件输出噪声、输入噪声和R电阻噪声。计算如下:

例如,增益为100时,增益电阻为100Ω。因此,输入放大器的电压噪声为:

仪表放大器电流噪声
电流噪声由源电阻转换成电压。电流噪声的影响可以通过将放大器的指定电流噪声乘以源电阻值来计算。
例如,如果图69中R1源电阻为4 kΩ,R2源电阻为1 kΩ,则电流噪声的总影响计算如下:

总噪声密度计算
为了确定输入端放大器的总噪声,采用平方和法结合源电阻噪声、电压噪声和电流噪声的贡献。
例如,如果图69中的R1源电阻为4KΩ,R2源电阻为1KΩ,并且in amp的增益为100,则参考输入的总噪声为:

应用程序信息
差分输出配置
图70显示了如何为差分输出配置AD8421的示例。

差分输出电压由以下等式设定:

共模输出由以下等式设定:

该电路的优点是直流差分精度取决于AD8421,而不是运算放大器或电阻。此外,该电路利用了AD8421对其输出电压相对于基准电压的精确控制。
虽然运算放大器的直流性能和电阻匹配会影响直流共模输出精度,但这种误差很可能会被信号链中的下一个设备所拒绝,因此,通常对整个系统精度的影响很小。
由于该电路易受不稳定因素的影响,因此采用电容器来限制运算放大器的有效带宽。如果放大器配对稳定,可以省略这个电容器。
任何放大器的开环增益和相位都可能随工艺和温度的变化而变化。附加的相位滞后可以通过电阻或电容负载引入。为保证稳定性,图70中电容器的值应通过评估电路在输出动态范围的极值处的负载的小信号脉冲响应来确定。
环境温度也应在预期范围内变化,以评估其对稳定性的影响。由于AD8421输出放大器的响应比运算放大器快,所以在电路调谐后,+OUT的电压可能仍有一些过冲。12 pF电容器是一个很好的起点。
为了获得最佳的大信号交流性能,使用具有高转换率的运算放大器来匹配35 V/μs的AD8421性能。高带宽不是必需的,因为系统带宽受RC反馈的限制。AD8610、ADA4627-1、AD8510和ADA4898-1是一些不错的运算放大器选择。
驱动ADC
AB类输出级、低噪声和低失真、高带宽和高转换率使AD8421成为在需要前端增益、高共模抑制比和直流精度的数据采集系统中驱动ADC的好选择。图71显示了AD8421,在10倍增益配置下,驱动AD7685,一个16位,250ksps伪差分SAR ADC。显示在AD8421和AD7685之间的RC低通滤波器有多种用途。它将放大器输出与动态ADC输入的过载隔离,降低放大器的噪声带宽,并为AD7685模拟输入提供过载保护。滤波器截止可以根据经验确定。为了获得最佳的交流性能,在最大输入信号频率下保持阻抗幅值大于1 kΩ,并将滤波器截止设置为在一个采样周期内稳定到½LSB,以达到满刻度阶跃。有关其他注意事项,请参阅所用ADC的数据表。
在增益为10的配置中,AD8421具有大约8 nV/√Hz的电压噪声RTI(请参阅计算输入级的噪声部分)。前端增益使系统对输入信号的灵敏度提高了10倍,而信噪比仅降低了7.5 dB。ADR435的高电流输出和负载调节允许AD7685直接从基准电源供电,而无需提供另一个模拟电源轨。参考pin缓冲器可以是任何低功率、单位增益稳定、直流精度运算放大器,其宽带噪声小于约25nv/√Hz,例如OP1177。图71中并没有显示所有正确的解耦。注意遵守放大器和ADR435的去耦指南。


外形尺寸



安芯科创是一家国内芯片代理和国外品牌分销的综合服务商,公司提供芯片ic选型、蓝牙WIFI模组、进口芯片替换国产降成本等解决方案,可承接项目开发,以及元器件一站式采购服务,类型有运放芯片、电源芯片、MO芯片、蓝牙芯片、MCU芯片、二极管、三极管、电阻、电容、连接器、电感、继电器、晶振、蓝牙模组、WI模组及各类模组等电子元器件销售。(关于元器件价格请咨询在线客服黄经理:15382911663)
代理分销品牌有:ADI_亚德诺半导体/ALTBRA_阿尔特拉/BARROT_百瑞互联/BORN_伯恩半导体/BROADCHIP_广芯电子/COREBAI_芯佰微/DK_东科半导体/HDSC_华大半导体/holychip_芯圣/HUATECH_华泰/INFINEON_英飞凌/INTEL_英特尔/ISSI/LATTICE_莱迪思/maplesemi_美浦森/MICROCHIP_微芯/MS_瑞盟/NATION_国民技术/NEXPERIA_安世半导体/NXP_恩智浦/Panasonic_松下电器/RENESAS_瑞莎/SAMSUNG_三星/ST_意法半导体/TD_TECHCODE美国泰德半导体/TI_德州仪器/VISHAY_威世/XILINX_赛灵思/芯唐微电子等等
免责声明:部分图文来源网络,文章内容仅供参考,不构成投资建议,若内容有误或涉及侵权可联系删除。
Copyright © 2002-2023 深圳市安芯科创科技有限公司 版权所有 备案号:粤ICP备2023092210号-1