600MHz-3dB带宽•6mA电源电流(每个放大器)R" />
特征
•600MHz-3db-ic/" title="600MHz-3dB">600MHz-3dB带宽
•6mA电源电流(每个放大器)
•单电源和双电源操作,从5V到10V
•快速启用/禁用
•提供16 Ld QSOP包装
•提供单(EL5192)和双(EL5292)
•提供高速、1GHz产品(EL5191)
•提供低功率、4mA、300MHz产品(EL5193,EL5293和EL5393)
•提供无铅加退火(符合RoHS标准)
应用
•视频放大器
•电缆驱动器
•RGB放大器
•测试设备
•仪表
•电流电压转换器
说明
三重600MHz电流反馈放大器
EL5392A是一个三重电流反馈放大器,具有非常高的带宽600MHz。这使得这种放大器成为当今高速视频和监视器应用的理想选择。
由于每个放大器的供电电流只有6毫安,并且能够从5伏到10伏的单一电源电压运行,EL5392A也是手持、便携式或电池供电设备的理想选择。
EL5392A还具有启用和禁用功能,可将每个放大器的供电电流降低至100μA。允许CE引脚浮动或应用低逻辑电平将启用放大器。
对于电路板空间至关重要的应用,EL5392A在16 Ld QSOP封装中提供,以及行业标准16 Ld SO(0.150”)。EL5392A在-40°C至+85°C的工业温度范围内工作。
订购信息

注:Intersil无铅加退火产品采用特殊无铅材料组;模塑化合物/模具连接材料和100%哑光锡板终端饰面,符合RoHS标准,并与SnPb和无铅焊接操作兼容。Intersil无铅产品的MSL分类为无铅峰值回流焊温度,满足或超过IPC/JEDEC J STD-020的无铅要求。
典型性能曲线















应用程序信息
产品描述
在EL5392A是一个电流反馈运算放大器,提供了一个宽-3dB带宽600MHz和一个低电源电流6毫安每个放大器。EL5392A的工作电压范围从单一的5伏到10伏,他们也能够摆动到1伏以内的任何一个电源的输出。由于其电流反馈拓扑,EL5392A没有与电压反馈运算放大器相关的正常增益带宽积。相反,随着闭环增益的增加,其-3dB带宽保持相对恒定。这种高带宽和低功耗的结合,加上积极的定价,使EL5392A成为许多低功耗/高带宽应用的理想选择,如便携式、手持或电池供电设备。
对于不同的带宽需求,可以考虑在9mA电源电流下使用1GHz的EL5191,或4mA电源电流为300MHz的EL5193。版本包括单、双和三安培封装,具有5 Ld SOT-23、16 Ld QSOP和8 Ld或16 Ld SOIC(0.150“)外形。
电路板布局
与任何高频设备一样,良好的印刷电路板布局是实现最佳性能的必要条件。低阻抗接地层建设是必不可少的。建议使用表面安装组件,但如果使用含铅组件,则引线长度应尽可能短。电源管脚必须绕过,以降低振荡的风险。当将4.7μF钽电容器与0.01μF电容器并联放置在每个电源引脚上时,其组合效果良好。
为了获得良好的交流性能,寄生电容应保持在最小值,特别是在逆变输入端。(参见反向输入部分的电容)即使使用接地层结构,也应将其从反向输入附近区域移除,以将该节点处的任何杂散电容降至最低。碳或金属膜电阻器是可以接受的,金属膜电阻器由于附加的串联电感,峰值和带宽稍小。如有可能,应避免使用插座,尤其是SOIC(0.150“)封装。插座增加寄生电感和电容,这将导致额外的峰值和过冲。
禁用/断电
EL5392A放大器可以被禁用,将其输出置于高阻抗状态。禁用时,放大器电源电流降低至<450μA。当其CE引脚被拉至正极电源1V以内时,EL5392A被禁用。类似地,放大器是通过浮动或拉动其CE引脚到正极电源以下至少3V来实现的。对于±5V电源,这意味着当CE为2V或以下时,EL5392A放大器将被启用,当CE高于4V时,该放大器将被禁用。尽管逻辑电平不是标准TTL,但这种逻辑电压的选择允许通过将CE接地启用EL5392A,即使在5V单电源应用中也是如此。CE管脚可以从CMOS输出驱动。
逆变输入电容
任何制造商的高速电压或电流反馈放大器都可能受到逆变输入处杂散电容的影响。对于逆变增益,这种寄生电容的影响很小,因为逆变输入是一个虚拟地,但是对于非逆变增益,这个电容(与反馈电阻和增益电阻一起)在放大器的反馈路径上形成一个极点。这个极点,如果频率足够低,与前向开环响应中的零点具有相同的失稳效应。大值反馈和增益电阻的使用通过进一步降低极频率(增加振荡的可能性)而加剧了问题。
EL5392A采用375Ω反馈电阻器进行了优化。由于这些放大器的高带宽,当与寄生电容结合时,这些电阻值可能会导致稳定性问题,因此不建议在放大器的反向输入引脚周围设置接地层。
反馈电阻值
EL5392A的设计和指定增益为+2,RF约为375Ω。反馈电阻的这个值在AV=2和2dB峰值处提供了300MHz的-3dB带宽。在AV=-2时,375Ω的射频可以提供275MHz的带宽和1dB的峰值。由于EL5392A是一个电流反馈放大器,所以也可以改变射频值以获得更多带宽。从不同RF和RG的频率响应曲线可以看出,通过改变反馈电阻的值,可以很容易地改变带宽和峰值。
因为EL5392A是一个电流反馈放大器,其增益带宽乘积对于不同的闭合环路增益不是一个常数。这个特性实际上允许EL5392A保持大约相同的-3dB带宽。随着增益的增加,带宽略有下降,而稳定性增加。由于环路稳定性随着更高的闭环增益而提高,因此可以将RF值降低到指定的375Ω以下,并且仍然保持稳定性,从而在闭环增益增加的情况下,仅会导致带宽的轻微损失。
电源电压范围和单电源操作
EL5392A设计用于在大于5V和小于10V的电源电压下工作。实际上,这意味着EL5392A将在±2.5V到±5V的双电源上工作。对于单电源,EL5392A将在5V到10V之间工作。
随着电源电压持续降低,有必要提供尽可能接近电源电压的输入和输出电压范围。EL5392A的输入范围可延伸至任一电源的2V以内。例如,在±5V电源上,EL5392A的输入范围为±3V。EL5392A的输出范围也相当大,可延伸至电源轨的1V范围内。在±5V电源上,输出可以在-4V到+4V之间摆动。由于外部下拉电阻接地,增加了负摆幅,因此单电源输出范围更大。
视频表演
为了获得良好的视频性能,需要一个放大器来保持相同的输出阻抗和相同的频率响应,因为在输出端改变了直流电平。当驱动150Ω的标准视频负载时,这尤其困难,因为输出电流随直流电平的变化而变化。以前,只有通过输出晶体管运行高怠速电流才能获得良好的差分增益(以减少输出阻抗的变化)。这些电流通常与每个EL5392A放大器的整个6mA电源电流相当。在EL5392A中加入了特殊的电路,以减少输出阻抗随电流输出的变化。这导致dG和dP规格为0.015%和0.04°,在增益为2时驱动150Ω。
在增益为+1时,视频性能也在500Ω负载下进行了测量。在这些条件下,EL5392A的dG和dP规格分别为0.03%和0.05°。
输出驱动能力
尽管EL5392A的电源电流为6毫安,但它至少能提供±95毫安的输出电流。EL5392A具有最小±95mA的输出驱动,能够驱动50Ω负载到两个轨道,使其成为电信应用中驱动隔离变压器的绝佳选择。
驱动电缆和电容性负载
当用作电缆驱动器时,建议始终使用双端接,以实现无反射性能。对于这些应用,背面终端串联电阻器将使EL5392A与电缆分离,并允许广泛的电容驱动。然而,其他应用可能具有高电容性负载,而没有背面终端电阻器。在这些应用中,一个小的串联电阻(通常在5Ω和50Ω之间)可以与输出串联,以消除大多数峰值。然后,可以选择增益电阻器(RG),以补偿在输出端由该附加电阻器产生的任何增益损失。在许多情况下,也可以简单地增加反馈电阻(RF)的值来减少峰值。
限流
EL5392A没有内部限流电路。如果输出短路,则有可能超过输出电流或功耗的绝对最大额定值,可能导致设备损坏。
功率损耗
由于EL5392A的高输出驱动能力,在某些非常高的负载电流条件下,有可能超过125°C的绝对最高结温。一般来说,当RL低于约25Ω时,计算最高结温是很重要的(TJMAX)用于确定是否需要修改EL5392A的电源电压、负载条件或封装类型,以使其保持在安全操作区域。这些参数计算如下:

其中:
TMAX=最高环境温度
θJA=包装的热阻
n=封装中放大器的数量
PDMAX=封装中每个放大器的最大功耗
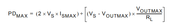
每个放大器的PDMAX可计算如下:

其中:
VS=电源电压
ISMAX=最大供电电流1A
VOUTMAX=最大输出电压(必需)
RL=负载电阻
安芯科创是一家国内芯片代理和国外品牌分销的综合服务商,公司提供芯片ic选型、蓝牙WIFI模组、进口芯片替换国产降成本等解决方案,可承接项目开发,以及元器件一站式采购服务,类型有运放芯片、电源芯片、MO芯片、蓝牙芯片、MCU芯片、二极管、三极管、电阻、电容、连接器、电感、继电器、晶振、蓝牙模组、WI模组及各类模组等电子元器件销售。(关于元器件价格请咨询在线客服黄经理:15382911663)
代理分销品牌有:ADI_亚德诺半导体/ALTBRA_阿尔特拉/BARROT_百瑞互联/BORN_伯恩半导体/BROADCHIP_广芯电子/COREBAI_芯佰微/DK_东科半导体/HDSC_华大半导体/holychip_芯圣/HUATECH_华泰/INFINEON_英飞凌/INTEL_英特尔/ISSI/LATTICE_莱迪思/maplesemi_美浦森/MICROCHIP_微芯/MS_瑞盟/NATION_国民技术/NEXPERIA_安世半导体/NXP_恩智浦/Panasonic_松下电器/RENESAS_瑞莎/SAMSUNG_三星/ST_意法半导体/TD_TECHCODE美国泰德半导体/TI_德州仪器/VISHAY_威世/XILINX_赛灵思/芯唐微电子等等
免责声明:部分图文来源网络,文章内容仅供参考,不构成投资建议,若内容有误或涉及侵权可联系删除。
Copyright © 2002-2023 深圳市安芯科创科技有限公司 版权所有 备案号:粤ICP备2023092210号-1