特征
●低噪声:2.3nV/√Hz
●低差分增益/相位误差
●高输出电流:150mA
●快速沉降:25ns(0.01%)
●增益带宽:500MHz
●增益稳定:≥2V/V
●低偏移电压:±100μV
●转换速率:500V/μs
●8针DIP,SOIC封装
应用
●低噪声前置放大器
●低噪声差分放大器
●高分辨率视频
●线路司机
●高速信号处理
●ADC/DAC缓冲器
●超声波
●脉冲/射频放大器
●有源滤波器
说明
OPA621是一款精密的宽带单片运算放大器,具有非常快的稳定时间、低的差分增益和相位误差以及高输出电流驱动能力。
OPA621在±2V/V或更高增益下稳定。由于其“经典”运算放大器电路结构,该放大器具有非常低的偏移量、完全对称的差分输入。与“电流反馈”放大器设计不同,OPA621可用于所有需要高速和精度的运算放大器应用中。
低噪声、低失真、宽带宽、高线性度使该放大器适用于射频和视频应用。短路保护由内部限流电路提供。
OPA621有DIP和SO-8封装。

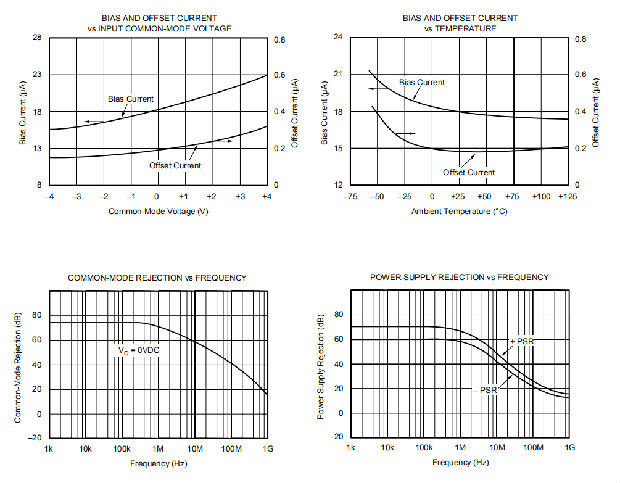
典型性能曲线
除非另有说明,否则VCC=±5VDC,RL=100Ω,TA=+25°C。










应用程序信息
性能讨论
OPA621提供了以前在单片形式下无法达到的速度和精度。与电流反馈放大器不同,OPA621的设计采用了“经典”运算放大器架构,因此可用于所有传统运算放大器应用。虽然电流反馈放大器确实可以在更高的增益下提供更宽的带宽,但它们有许多缺点。电流反馈放大器的不对称输入特性(即一个输入为低阻抗)使其无法用于各种应用。此外,不平衡输入使得输入偏置电流误差难以校正。由于输入偏置电流是不相关的,通过匹配逆变和非逆变输入电阻来消除偏置电流是不可能的。电流噪声也是不对称的,通常在逆变输入时明显较高。也许最重要的是,由于内部设计权衡,0.01%的稳定时间通常非常差。许多电流反馈设计显示,即使0.1%的稳定时间是合理的,但在超过10微秒的时间内,稳定时间达到0.01%。这种放大器完全不适合快速稳定的12位应用。
OPA621的“经典”运算放大器架构采用真正的差分和完全对称的输入来消除这些麻烦的问题。所有传统的电路配置和运算放大器理论都适用于OPA621。低漂移薄膜电阻的使用使得内部工作电流可以在晶片级进行激光微调,以优化交流性能,如带宽和稳定时间,以及直流参数,如输入偏移电压和漂移。其结果是一个宽带、高频单片运算放大器,增益带宽积为500MHz,0.01%的稳定时间为25ns,输入偏置电压为200μV。
接线注意事项
最大限度地提高OPA621的性能需要一些布线预防措施和高频布局技术。振荡、振铃、低带宽和稳定、增益峰值和不稳定是困扰所有高速放大器使用不当的典型问题。一般来说,所有印刷电路板的导体都应该很宽,以提供低电阻、低阻抗的信号路径。它们也应该尽可能短。整个物理电路应尽可能小。杂散电容应最小化,尤其是在高阻抗节点,如放大器的输入端。从输出或电源到输入的杂散信号耦合应最小化。所有电路元件引线的长度不应超过1/4英寸(6mm),以减小引线电感,并应使用低电阻值。这将使电路电容形成的时间常数最小化,并消除杂散、寄生电路。
与所有高频电路一样,接地是OPA621最重要的应用考虑因素。如果不使用良好的接地技术,频率为500MHz及以上的振动很容易发生。重型接地板(建议使用2盎司铜)连接部件侧的所有未使用区域。良好的接地层可以减少杂散信号的拾取,为信号和电源提供低电阻、低电感的公共回流路径,并且可以通过对流将有源电路封装管脚的热量传导到环境空气中。
电源旁路非常重要,必须始终使用,尤其是在驱动大电流负载时。两条电源线都应绕过接地,尽可能靠近放大器引脚。建议使用极短引线的钽电容器(1μF至10μF)。应在电源引脚处添加平行的0.1μF陶瓷。表面贴装旁路电容器将产生良好的结果,因为他们的低铅电感。此外,抑制滤波器可用于隔离噪声供电线路。适当的旁路和无调制电源线允许全放大器输出和最佳的稳定时间性能。
要记住的要点
1)不要使用点对点接线,因为接线电感的增加会对交流性能不利。但是,如果必须使用,则需要非常短的直接信号路径。输入信号接地回路、负载接地回路和电源公共线都应连接到同一物理点,以消除可能导致不必要反馈的接地回路。
2)良好的组件选择至关重要。在关键位置使用的电容器应为低电感型,具有高质量的介电材料。同样,在关键位置使用的二极管应为肖特基势垒型,如用于快速恢复和最小电荷存储的HP50822835。普通二极管不适用于射频电路。
3)尽可能不使用插座将OPA621直接焊接到PC板上。插座会增加寄生电容和电感,这会严重降低交流性能或产生振荡。如果必须使用插座,请考虑使用零剖面无焊插座,如Augat零件号8134-HC-5P2。或者,靠近放大器引脚的Teflon®定位器可用于安装反馈元件。
4)反馈网络中使用的电阻值应为几百欧姆,以获得最佳性能。并联电容问题将可接受的电阻范围限制在高端约1kΩ,而在低端限制在放大器的输出驱动限制范围内。金属薄膜和碳电阻是令人满意的,但线绕电阻器(甚至是“无感”型)在高频电路中是绝对不可接受的。
5)表面贴装元件(片式电阻器、电容器等)的引线电感较低,因此很强推荐。使用所有带OPA621AU(SO-8封装)的表面安装元件的电路将提供最佳的交流性能。so8的寄生封装电感和电容均低于Cerdip和8引线塑料DIP。
6)避免输出过载。请记住,输出电流必须由放大器提供,以驱动其自身的反馈网络以及驱动其负载。高阻抗负载可实现最低失真。
7)别忘了这些放大器使用±5V电源。尽管它们在+5V和-5.2V下运行良好,但使用±15V电源会损坏零件。
8)标准的商业测试设备还没有被设计用于OPA621速度范围内的测试设备。台式运算放大器测试仪和ATE系统需要一个特殊的测试头来成功测试这些放大器。
9)终止传输线负载。未端接的线路,如同轴电缆,对放大器来说可能是电容性或感性负载。通过用其特性阻抗端接一条传输线,放大器的负载就显得纯粹是电阻。
10)插入式原型板和绕线板将不令人满意。一个干净的布局使用射频技术是必要的;没有捷径。
偏移电压调整
OPA621的输入偏置电压是激光微调的,对于大多数应用来说不需要进一步调整。但是,如果需要额外的调整,图1中的电路可以在不降低偏移随温度变化的情况下使用。任何时候都可以避免外部的噪声,因为这样的外部电源调整可以避免外部噪声。记住,额外的偏移误差可以由放大器的输入偏置电流产生。尽可能匹配两个输入的阻抗,如R3所示。这将减少放大器偏移电流的输入偏置电流误差,通常只有0.2μA。

输入保护
对于MOSFET器件来说,静电损伤已经得到了很好的认识,但是任何半导体器件都应该受到这种潜在破坏源的保护。OPA621集成了片内ESD保护二极管,如图2所示。这就不需要用户添加外部保护二极管,这会增加电容并降低交流性能。

OPA621上的所有管脚通过一对背靠背反向偏置二极管对任一电源进行内部保护,以防静电放电。当输入电压超过任一电源约0.7V时,这些二极管将开始导通。当信号源仍然存在时,放大器的电源可能会发生这种情况。二极管通常可以承受30mA的连续电流而不会损坏。然而,为了确保长期的可靠性,二极管的电流应该尽可能地限制在10mA左右。
内部保护二极管的设计可承受2.5kV(使用人体模型),并将为大多数正常操作程序提供足够的ESD保护。然而,静态损坏可能会导致放大器输入特性的细微变化,而不一定会损坏设备。在精密运算放大器中,这可能会导致偏移电压和漂移的显著降低。因此,在处理OPA621时,强烈建议采取防静电措施。
输出驱动能力
OPA621的设计使用了大的输出设备,并且已经过优化以驱动50Ω和75Ω的电阻负载。该装置可以轻松地将6Vp-p驱动到50Ω的负载中。这种高输出驱动能力使OPA621成为广泛射频、中频和视频应用的理想选择。在许多情况下,不需要额外的缓冲放大器。
内部限流电路在25°C时将输出电流限制在约150毫安。这可防止因意外短路而造成的破坏,并且无需外部限流电路。虽然该设备可以承受任何电源的瞬时短路,但不建议使用。
许多要求很高的高速应用,如ADC/DAC缓冲器,需要具有低宽带输出阻抗的运算放大器。例如,当驱动flash A/D转换器输入端的信号相关电容时,低输出阻抗是必不可少的。如图3所示,OPA621在频率上保持非常低的闭环输出阻抗。闭环输出阻抗随频率而增加,因为环路增益随频率降低。

热因素
OPA621在大多数环境下都不需要散热器。然而,使用散热片将减少内部热升,并将导致更冷、更可靠的运行。在极端温度和满载条件下,需要散热器。见“最大功耗”曲线,图4。

内部功耗由公式PD=PDQ+PDL给出,其中PDQ为静态功耗,PDL为输出级因负载而产生的功耗。(对于±VCC=±5V,PDQ=10V x 28mA=280mW,最大值)。对于放大器以直流电压(±VOUT)驱动接地负载(RL)的情况,PDL的最大值出现在±VOUT=±VCC/2处,并且等于PDL,max=(±VCC)2/4RL。注意,决定输出级功耗的是输出晶体管上的电压,而不是负载。
当输出对地短路时,PDL=5V x 150mA=750mW。因此,PD=280mW+750mW=1W。请注意,短路条件代表可产生的最大内部功耗。因此,“最大功耗”曲线从1W开始,并根据175°C的最高结温和每个封装的结对环境的热阻θJA进行降额。短路电流随温度的变化如图5所示。

电容性负载
OPA621的输出级经过优化,可驱动低至50Ω的电阻负载。然而,电容性负载会降低放大器的相位裕度,这可能会导致高频峰值或振荡。大于15pF的电容性负载应通过连接一个小电阻(通常为5Ω到25Ω)与图6所示的输出串联来缓冲。这在驱动高电容负载(如闪存A/D转换器)时尤为重要。
一般来说,电容性负载应最小化,以获得最佳的高频性能。如果电缆端接正确,可以驱动同轴电缆。同轴电缆或传输线在其特性阻抗内端接时,同轴电缆的电容(RG-58为29pF/英尺)不会加载放大器。

补偿
OPA621在反转增益≥-2V/V和非反转增益≥+2V/V时稳定。两种配置的相位裕度约为50°。应该避免统一的反转和非反转收益。+2V/V和-2V/V的最小稳定增益是对环路稳定性要求最高的电路配置,在这些增益中最有可能发生振荡。如果可能,在噪声增益大于3的情况下使用该器件,以提高相位裕度并降低对振荡的敏感性。(请注意,从稳定性的角度来看,-2V/V的反向增益相当于3的噪声增益。)其他增益的增益和相位响应如典型性能曲线所示。
OPA621在良好布局下的高频响应与高增益电路的频率平坦。然而,使用大反馈电阻的低增益电路和配置可以产生高频增益峰值。这种峰值可以通过连接一个小电容器与反馈电阻并联来最小化。该电容器补偿由放大器的输入电容(通常在PC板安装后为2pF)和输入和反馈电阻器形成的时间常数而产生的闭环、高频、传递函数零点。所选择的补偿电容器可以是微调器、固定电容器或计划的PC板电容器。电容值与电路布局和闭环增益密切相关。使用小电阻值将保持相位裕度,并通过保持零的断开频率足够高来避免峰值。当需要高的闭环增益时,建议使用三电阻衰减器(tee网络),以避免使用时间常数较大的大值电阻。
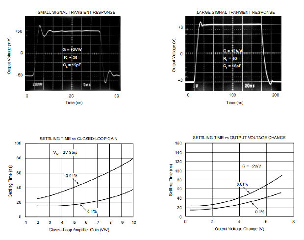
沉降时间
稳定时间是指从输入信号阶跃到输出在最终值周围的指定误差范围内所需的总时间。这个误差带表示为输出转换值的百分比,2V步长。因此,稳定时间为0.01%要求误差带为±200μV,中心为2V的最终值。
在2倍的反向增益中规定的稳定时间,2V阶跃仅在25ns到0.01%之间发生,使OPA621成为商用最快的单片放大器之一。如典型性能曲线所述,随着闭环增益和输出电压的变化,稳定时间增加。保持稳定时间需要对“布线注意事项”中提到的细节给予严格的注意。放大器也可以从输入过载中快速恢复。从50%过载到线性运行的过载恢复时间通常只有30ns。
实际上,在OPA621上测量沉降时间是非常困难的。除了设备最好的实验室,精确的测量几乎是不可能的。除此之外,还需要一个快速的平顶发生器和高速示波器。不幸的是,快速平顶发电机,在足够的时间内可以稳定到0.01%,但却很稀缺,而且价格昂贵。然而,快速示波器更常见。为了获得最佳结果,建议使用取样示波器。采样范围通常具有大于1GHz的带宽和非常低的电容输入。它们还表现出更快的稳定时间,以响应信号,往往会过载一个实时示波器。
图7显示了用于测量OPA621的稳定时间的测试电路。该方法使用16位采样示波器来监测输入和输出脉冲。这些波形由采样范围捕获,平均,然后在软件中互相减去,产生误差信号。这种技术消除了对传统的“假和结”的需要,这种结增加了额外的寄生电容。请注意,该技术使用示波器的内置校准源作为输入信号,而不是附加的平顶发生器。

微分增益和相位
差分增益(DG)和差分相位(DP)是视频应用中比较重要的指标之一。DG被定义为闭环增益在输出电压水平上的变化百分比。DP被定义为在相同的输出电压变化中闭环相位的变化。DG和DP都规定在3.58MHz的NTSC子载波频率下。DG和DP随着闭环增益和输出电压的变化而增加,如典型性能曲线所示。所有测量均使用Tektronix型号VM700视频测量装置进行。
扭曲
OPA621在50Ω负载下的谐波失真特性与频率和功率输出的关系在典型的性能曲线中显示。如图8所示,通过增加负载电阻可以进一步改善失真。在计算放大器看到的有效负载电阻时,请记住包括反馈电阻的贡献。

双音三阶互调失真(IM)是许多射频放大器应用中的一个重要参数。图9显示了OPA621的双音、三阶IM截距与频率的关系。对于这些测量,音调间隔为1MHz。该曲线对于确定作为频率、负载电阻和增益函数的三阶IM产品的大小特别有用。例如,假设应用程序要求OPA621以+2V/V的增益工作,并以10MHz的频率将2Vp-p(每个音调4dBm)驱动到50Ω。参考图9,我们发现截距点是+47dBm。三阶IM乘积的大小现在可以很容易地从表达式中计算出来:

其中:OPI3P=三阶输出截距,dBm;PO=输出电平/音调,dBm/音调;三阶IMD=每个输出音调下的三阶互调比,dB。

在这种情况下,OPI3P=47dBm,PO=4dBm,第三阶IMD=2(47-4)=86dB,低于任一4dBm音调。OPA621的低IMD使其成为各种射频信号处理应用的绝佳选择。
噪声系数
OPA621的电压和电流噪声频谱密度在典型性能曲线中有规定。然而,对于射频应用,噪声系数(NF)通常是首选的噪声规范,因为它允许系统噪声性能更容易计算。图10显示了OPA621的噪声系数与源电阻的关系。
香料模型
在分析模拟电路和系统的性能时,使用SPICE的计算机模拟通常很有用。这对于视频和射频放大器电路尤其如此,因为寄生电容和电感会对电路性能产生重大影响。使用MicroSim公司的PSpice的SPICE模型可用于OPA621。

可靠性数据
对OPA621进行了广泛的可靠性测试。使用最高工作温度下的加速寿命试验(2000小时)计算环境温度为25°C时的MTTF。这些试验结果得出的MTTF为:DIP=5.02E+7小时,SO-8=2.94E+7小时。还进行了其他测试,如PCT。可靠性报告可根据要求提供每个包选项。
环境(Q)筛选
半导体器件的固有可靠性是由器件的设计、材料和制造所控制的,不能通过测试来提高。然而,环境筛选的使用可以通过应用精心选择的加速应激水平,消除大多数在生命早期(婴儿死亡率)就会失效的单元。Burr Brown“Q-Screening”为我们的标准工业产品提供环境筛选,从而提高可靠性。下表所示的筛选图按照与MIL-STD-883相似的选定水平进行。

示范板
演示板可用于加速原型制作。可使用DEM OPA65XP板评估8针浸渍包装件,而使用DEM-OPA65XU板评估SO-8封装件。这两块电路板都是从您当地的经销商处部分组装而成的(不包括外部电阻或放大器)。
应用





安芯科创是一家国内芯片代理和国外品牌分销的综合服务商,公司提供芯片ic选型、蓝牙WIFI模组、进口芯片替换国产降成本等解决方案,可承接项目开发,以及元器件一站式采购服务,类型有运放芯片、电源芯片、MO芯片、蓝牙芯片、MCU芯片、二极管、三极管、电阻、电容、连接器、电感、继电器、晶振、蓝牙模组、WI模组及各类模组等电子元器件销售。(关于元器件价格请咨询在线客服黄经理:15382911663)
代理分销品牌有:ADI_亚德诺半导体/ALTBRA_阿尔特拉/BARROT_百瑞互联/BORN_伯恩半导体/BROADCHIP_广芯电子/COREBAI_芯佰微/DK_东科半导体/HDSC_华大半导体/holychip_芯圣/HUATECH_华泰/INFINEON_英飞凌/INTEL_英特尔/ISSI/LATTICE_莱迪思/maplesemi_美浦森/MICROCHIP_微芯/MS_瑞盟/NATION_国民技术/NEXPERIA_安世半导体/NXP_恩智浦/Panasonic_松下电器/RENESAS_瑞莎/SAMSUNG_三星/ST_意法半导体/TD_TECHCODE美国泰德半导体/TI_德州仪器/VISHAY_威世/XILINX_赛灵思/芯唐微电子等等
免责声明:部分图文来源网络,文章内容仅供参考,不构成投资建议,若内容有误或涉及侵权可联系删除。
Copyright © 2002-2023 深圳市安芯科创科技有限公司 版权所有 备案号:粤ICP备2023092210号-1