特征
256位
TTP(两次可编程)设置和忘记电阻设置允许二次机会永久编程
在OTP(一次性编程)激活前无限制调整
OTP覆盖允许使用用户定义的预设值进行动态调整
端到端电阻:2.5 kΩ、10 kΩ、50 kΩ、100 kΩ
紧凑型MSOP-10(3 mm×4.9 mm)包装
快速稳定时间:通电时tS=5μs
雨刮器寄存器的完全读/写
通电预设到中刻度
额外包地址解码引脚AD0和AD1
单电源2.7 V至5.5 V
低温系数:35 ppm/°C
低功耗,最大IDD=6μA
宽工作温度:-40°C至+125°C
提供评估板和软件
软件在工厂编程应用程序中取代了μC
应用
系统校准
电子水平设置
新设计中的Mechanical Trimmers®替代品
永久性工厂PCB设置
压力、温度、位置的传感器调整,
化学和光学传感器
射频放大器偏压
汽车电子调整
增益控制和偏移调整
概述
AD5170是一个256位,两次可编程(TTP)数字电位器1,采用熔丝连接技术,使两个机会在永久编程电阻设置。对于不需要在内存中多次编程数字电位器设置的用户,OTP是EEMEM的一种经济高效的替代方案。该装置具有与机械电位器或可变电阻器相同的电子调节功能,具有增强的分辨率、固态可靠性和优异的低温系数性能。
AD5170使用2线、I2C®兼容数字接口编程。在永久(实际上有两个机会)设置电阻值之前,允许无限调整。在OTP激活期间,一个永久性的吹扫保险丝命令会冻结雨刮器的位置(类似于在机械修剪器上放置环氧树脂)。
与传统的OTP数字电位器不同,AD5170有一个独特的临时OTP覆盖功能,即使在保险丝熔断后也可以进行新的调整。但是,在随后的通电条件下,将恢复TP设置。此功能允许用户将这些数字电位器视为具有可编程预设的易失性电位器。
对于在工厂编程AD5170的应用程序,模拟设备提供运行在Windows NT®、2000和XP®操作系统上的设备编程软件。该软件有效地取代了任何外部I2C控制器,从而提高了用户系统的上市时间。
功能框图

典型性能特征







测试电路
图24至图29说明了定义产品规格表中使用的测试条件的测试电路。

操作理论

AD5170是一种256位数字控制可变电阻器(VR),采用熔丝连接技术实现电阻设置的记忆保持。
内部通电预设在通电期间将雨刮器置于中间刻度。如果OTP功能已激活,设备将以用户定义的永久设置通电。
一次性编程(OTP)
在OTP激活之前,AD5170在初始通电期间预设为中刻度。雨刮器设置到所需位置后,可通过将T位编程设定为高,并采用适当的编码(见表7和表8)和一次VDD U OTP来永久设置电阻。请注意,AD517x系列数字电位器的熔丝连接技术要求5.25 V和5.5 V之间的VDD U OTP来熔断保险丝,以实现给定的非易失性设置。另一方面,VDD在运行期间可以是2.7v到5.5v。因此,低于5.25 V的系统电源需要外部电源进行一次性编程。请注意,用户只允许一次尝试熔断器。如果用户在第一次尝试时未能引爆保险丝,则保险丝的结构可能已发生变化,因此无论在随后的事件中施加的能量如何,保险丝都可能永远不会熔断。有关详细信息,请参阅电源设备注意事项部分。
设备控制电路有两个验证位E1和E0,可以读回以检查编程状态(见表7)。用户应始终读回验证位,以确保保险丝正确熔断。保险丝熔断后,所有保险丝闩锁在随后通电时启用;因此,输出与存储的设置相对应。图30显示了详细的功能框图。
编程可变电阻和电压
变阻器操作
端子A和端子B之间的RDAC标称电阻为2.5 kΩ、10 kΩ、50 kΩ和100 kΩ。VR的标称电阻(RAB)有256个触点可通过雨刮器端子连接,再加上B端子触点。RDAC锁存器中的8位数据被解码以选择256个可能的设置之一。

假设使用10 kΩ零件,雨刮器的第一次连接从数据0x00的B端子开始。由于雨刮器接触电阻为50Ω,因此这种连接在端子W和端子B之间产生最小100Ω(2×50Ω)的电阻。第二个连接是第一个抽头,对应于139Ω(RWB=RAB/256+2×RW=39Ω+2×50Ω)对于数据0x01。第三个连接是下一个抽头点,代表数据0x02的178Ω(2×39Ω+2×50Ω),依此类推。每增加一个LSB数据值,雨刮器就会沿着电阻器阶梯向上移动,直到最后一个分接点在10100Ω(RAB+2×RW)处断开。

确定端子W和端子B之间数字编程输出电阻的一般方程式为:

其中,D是加载到8位RDAC寄存器中的二进制代码的十进制等效值,RAB是端到端电阻,RW是内部开关通电电阻产生的刮水器电阻。
总之,如果RAB=10 kΩ且A端子开路,则RDAC锁存代码的输出电阻RWB设置为表5所示。

注意,在零刻度条件下,存在100Ω的有限雨刮器电阻。应注意将该状态下端子W和端子B之间的电流限制在最大脉冲电流不超过20 mA。否则,内部开关触点可能会退化或损坏。
与机械电位计类似,雨刮器端子W和端子A之间的RDAC电阻也会产生数字控制的互补电阻RWA。
使用这些端子时,B端子可以打开。为RWA设置电阻值从电阻的最大值开始,并随着锁存器中加载的数据值的增加而减小。这个操作的一般方程是:

对于RAB=10 kΩ且B端子开路,为RDAC锁存代码设置以下输出电阻RWA,如表6所示。

典型的器件对器件匹配取决于工艺批次,并且可能会有高达±30%的变化。由于电阻元件是用薄膜技术加工而成的,RAB随温度的变化具有非常低的35 ppm/°C温度系数。
编程电位计分压器
电压输出操作
数字电位计很容易在雨刮器至B和雨刮器至a处产生一个与a至B处的输入电压成比例的分压器。与VDD到GND的极性(必须为正)不同,a–B、W–a和W–B之间的电压可以是任意极性。

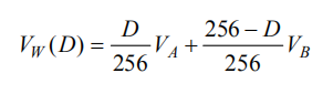
如果忽略雨刮器电阻的影响以获得近似值,则将A端子连接至5 V,将B端子连接至接地,在雨刮器至B处产生一个从0 V到1 LSB小于5 V的输出电压。每个电压LSB等于施加在端子AB上的电压除以电位计分压器的256个位置。定义施加在端子A和端子B上的任何有效输入电压在VW时相对于地的输出电压的一般方程为:

为了进行更精确的计算(包括刮水器阻力的影响),VW可以如下所示:

分压器在数字模式下的操作更精确。与变阻器模式不同,输出电压主要取决于内部电阻RWA和RWB的比值,而不是ab 溶质值。因此,温度漂移降低到15 ppm/°C。
ESD保护
所有数字输入SDA、SCL、AD0和AD1均采用串联输入电阻和并联齐纳ESD结构进行保护,如图34和图35所示。

终端电压工作范围
AD5170 VDD至GND电源定义了3端数字电位器正常工作的边界条件。端子A、端子B和端子W上出现的超过VDD或GND的电源信号将被内部正向偏置二极管钳制(见图36)。

通电顺序
由于ESD保护二极管限制了端子A、端子B和端子W的电压合规性(见图36),所以在向端子A、端子B和端子W施加任何电压之前,必须为VDD/GND供电。否则,二极管将是正向偏压的,这样VDD会无意中通电,并可能影响用户电路的其余部分。理想的通电顺序是GND、VDD、数字输入,然后是VA/VB/VW。只要在VDD/GND之后供电,VA、VB、VW和数字输入的相对顺序并不重要。
电源考虑事项
为了减少封装引脚数,一次性编程和正常工作电压电源共用AD5170的同一个VDD端子。AD5170采用熔丝连接技术,需要5.25 V到5.5 V来熔断内部保险丝,以实现给定的设置,但在保险丝编程过程后,正常VDD可以在2.7 V到5.5 V之间的任何位置。因此,如果系统VDD低于所需的VDD U OTP,则需要双电压供电和隔离。保险丝编程电源(车载调节器或机架式电源)的额定电压必须为5.25 V至5.5 V,并且能够提供100 mA电流,持续400 ms,以便成功地进行一次编程。保险丝编程完成后必须移除VDD U OTP电源,以允许在2.7 V至5.5 V的电压下正常工作,并且设备将消耗以μA为单位的电流范围。图37显示了使用跳线实现双电源要求的最简单方法。这种方法节省了一个电压供应,但需要额外的电流,需要手动配置。

在3.5V至5.25V系统中,另一种方法是在系统电源和OTP电源之间添加一个信号二极管,用于隔离,如图38所示。


对于在2.7V电压下操作系统的用户,建议使用双向低阈值P-Ch mosfet来隔离电源。如图39所示,这假设首先施加2.7 V系统电压,P1和P2栅极被拉到地上,从而打开P1,随后打开P2。因此,AD5170的VDD接近2.7 V。当发现AD5170设置时,工厂测试仪将VDD_OTP应用于VDD和MOSFETs栅极,关闭P1和P2。在这个时间,程序在ad7.5被保护,而在ad7.5程序被保护。一旦保险丝编程完成,测试仪将退出VDD U OTP,AD5170的设置将永久固定。
AD5170通过熔断内部保险丝来实现OTP功能。用户应始终在第一次尝试保险丝编程时应用5.25 V至5.5 V一次性编程电压要求。不遵守此要求可能导致保险丝结构发生变化,导致编程无法操作。
不良的PCB布局引入寄生,可能影响保险丝编程。因此,建议在尽可能靠近VDD形管脚的地方并联10μF钽电容器和1 nF陶瓷电容器。为两个电容器选择的类型和值很重要。这种电容值的组合提供了快速响应和更大的电源电流处理,同时在瞬变过程中使电源电压降最小。因此,这些电容器通过不抑制引爆内部保险丝所需的适当能量来提高OTP编程成功率。此外,c1使瞬态干扰和低频纹波最小化,而C2在正常运行期间降低了高频噪声。
布局注意事项
最好采用紧凑、最小引线长度的布局设计。输入端的导线应尽可能直接,导线长度应最小。接地路径应具有低电阻和低电感。
请注意,数字接地还应在一个点远程连接到模拟接地,以尽量减少接地反弹。

评估软件/硬件

有两种控制AD5170的方法。用户可以使用计算机软件或外部I2C控制器对设备进行编程。
软件编程
由于一次性可编程特性的优点,用户可以考虑在将最终产品交付给最终用户之前在工厂对设备进行编程。ADI提供设备编程软件,可在出厂时在运行Windows®95或更高版本的PC上实现。因此,不需要外部控制器,这大大缩短了开发时间。程序是一个不需要任何编程语言知识或编程技能的可执行文件。它易于设置和使用。图41显示了软件界面。
在OTP编程之前,AD5170在通电后的中刻度启动。要增加或减少阻力,用户只需移动左侧的滚动条。要写入任何特定的值,用户应该使用上面屏幕中的位模式并按Run按钮。向设备写入数据的格式如表7所示。一旦用户找到永久链接程序,按下所需的保险丝按钮。
要从设备中读取验证位和数据,用户只需按下“读取”按钮。读取位的格式如表8所示。
要在工厂应用设备编程软件,用户必须修改并行端口电缆,并为控制信号分别配置插脚2、插脚3、插脚15和插脚25,以分别用于SDA_write、SCL、SDA_read和DGND(图42)。用户还应使用SCL和SDA焊盘布置AD5170的PCB,如图43所示,这样可以插入pogo引脚进行工厂编程。


I2C接口

S=启动条件。
P=停止条件。
A=确认。
AD0,AD1=封装引脚可编程地址位。
X=不在乎。
W=写入。
R=读取。
2T=用于两次编程的第二个熔丝连接阵列。逻辑0对应于第一个微调。逻辑1对应于第二微调。
请注意,在微调1之前吹气微调2会有效地禁用微调1,而反过来只允许一次性编程。
SD=关闭将雨刮器连接到B端子并断开A端子。它不会改变雨刮器寄存器的内容。
T=OTP编程位。逻辑1永久编程雨刮器。
OW=覆盖保险丝设置并将数字电位计编程为不同的设置。请注意,通电后,数字电位计根据保险丝连接是否熔断而预设为中刻度或保险丝设置。
D7、D6、D5、D4、D3、D2、D1、D0=数据位。
E1,E0=OTP验证位。
0,0=准备编程。
1,0=致命错误。有些保险丝没有熔断。不要重试。丢弃此单元。
1,1=编程成功。无法进一步调整。


I2C兼容2线串行总线
2线I2C串行总线协议的工作原理如下:
1.主机通过建立一个启动条件来启动数据传输,即当SCL为高时,SDA线路上发生从高到低的转换(见图45)。下面的字节是从地址字节,它包括后接R/W位的从机地址(该位决定数据是从设备读写的)。AD0和AD1是可配置的地址位,允许一条总线上最多有四个设备(见表7)。
在第九个时钟脉冲期间,与发送的地址位相对应的从机地址将SDA线拉低(这称为确认位)。在这个阶段,总线上的所有其他设备保持空闲,而所选设备等待数据写入或从其串行寄存器读取。如果R/W位高,主设备将从设备读取数据。如果R/W位低,主设备将写入从设备。
2.在写入模式下,第二个字节是指令字节。指令字节的第一位(MSB)2T是第二个微调启用位。第二个逻辑阵列选择一个高逻辑阵列,第二个逻辑阵列选择低逻辑。这意味着在用trim#1熔断后,用户还有机会再次用trim#2熔断。请注意,在trim 1之前使用trim#2会有效地禁用trim#1,而反过来,只允许一次性编程。
第二个MSB SD是一个关闭位。逻辑高导致雨刮器与端子B短路时端子A开路。此操作在变阻器模式下产生几乎0Ω,在电位计模式下产生0 V。需要注意的是,关闭操作不会干扰寄存器的内容。当脱离停机时,先前的设置应用于RDAC。此外,在停机期间,可以编程新的设置。当部件从关机状态返回时,相应的VR设置将应用于RDAC。
第三个MSB,T,是OTP(一次性可编程)编程位。一个逻辑高压熔断器熔断,并对电阻器设置进行永久性编程。例如,如果用户想炸掉第一组保险丝,指令字节将是00100XXX。要引爆第二个熔丝阵列,指令字节将是10100XXX。T位的逻辑低仅允许设备充当典型的易失性数字电位器。
第四个MSB必须始终位于逻辑0处。
第五个MSB,OW,是一个覆盖位。当上升到逻辑高电平时,OW允许在内部保险丝熔断后更改RDAC设置。但是,一旦OW返回到逻辑零,RDAC的位置将返回到覆盖之前的设置。因为OW不是静态的,如果设备断电或打开,RDAC会根据保险丝是否已永久设置,将其预设为中间刻度或保险丝熔断时的设置。
指令字节中剩余的位是无所谓位(参见图45)。
在确认指令字节后,写入模式下的最后一个字节是数据字节。数据在串行总线上以9个时钟脉冲的顺序传输(8个数据位后接一个确认位)。SDA线路上的转换必须发生在SCL的低周期,并在SCL的高周期保持稳定(见图44)。
3.在读取模式下,数据字节紧跟在从属地址字节的确认之后。数据以9个时钟脉冲的顺序通过串行总线传输(与写入模式稍有不同,8个数据位后跟一个确认位)。同样,SDA线上的转换必须发生在SCL的低周期,并且在SCL的高周期保持稳定(见图46)。
在数据字节之后,验证字节包含两个验证位:E0和E1。这些位表示一次性编程的状态(参见图46)。
4.在所有的数据位都被读或写之后,主机将建立一个停止条件。停止条件被定义为当SCL为高时SDA线路上从低到高的转换。在写入模式下,主机在第10个时钟脉冲期间将SDA线拉高,以建立停止条件(见图45)。在读取模式下,主机对第9个时钟脉冲发出“无应答”(即SDA线保持高电平)。然后,主机在第10个时钟脉冲之前将SDA线调低,该脉冲变高,以建立停止条件(见图46)。
重复写入功能使用户可以在寻址和指令部件一次之后,灵活地多次更新RDAC输出。例如,RDAC在写入模式下确认了它的从属地址和指令字节之后,RDAC输出会在每个连续的字节上更新。如果需要不同的指令,写/读模式必须用新的从机地址、指令和数据字节重新启动。同样,也允许RDAC的重复读取功能。

一条总线上有多个设备
图47显示了同一串行总线上的四个AD5170。每个都有不同的从机地址,因为它们的AD0和AD1引脚的状态不同。这允许总线上的每个设备独立地被写入或读取。主设备输出总线驱动程序是一个完全兼容I2C接口的开漏式下拉驱动器。

外形尺寸


1、评估板附带10 kΩRAB电阻器选件;但是,该板兼容所有可用的电阻值选项。
安芯科创是一家国内芯片代理和国外品牌分销的综合服务商,公司提供芯片ic选型、蓝牙WIFI模组、进口芯片替换国产降成本等解决方案,可承接项目开发,以及元器件一站式采购服务,类型有运放芯片、电源芯片、MO芯片、蓝牙芯片、MCU芯片、二极管、三极管、电阻、电容、连接器、电感、继电器、晶振、蓝牙模组、WI模组及各类模组等电子元器件销售。(关于元器件价格请咨询在线客服黄经理:15382911663)
代理分销品牌有:ADI_亚德诺半导体/ALTBRA_阿尔特拉/BARROT_百瑞互联/BORN_伯恩半导体/BROADCHIP_广芯电子/COREBAI_芯佰微/DK_东科半导体/HDSC_华大半导体/holychip_芯圣/HUATECH_华泰/INFINEON_英飞凌/INTEL_英特尔/ISSI/LATTICE_莱迪思/maplesemi_美浦森/MICROCHIP_微芯/MS_瑞盟/NATION_国民技术/NEXPERIA_安世半导体/NXP_恩智浦/Panasonic_松下电器/RENESAS_瑞莎/SAMSUNG_三星/ST_意法半导体/TD_TECHCODE美国泰德半导体/TI_德州仪器/VISHAY_威世/XILINX_赛灵思/芯唐微电子等等
免责声明:部分图文来源网络,文章内容仅供参考,不构成投资建议,若内容有误或涉及侵权可联系删除。
Copyright © 2002-2023 深圳市安芯科创科技有限公司 版权所有 备案号:粤ICP备2023092210号-1