特征
低失调电压:最大60μV
极低偏移电压漂移:最大0.7μV/°C
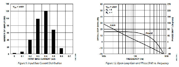
低输入偏置电流:最大2 nA
低噪声:典型8 nV/√Hz
最小CMRR、PSRR和AVO>120 dB
低电源电流:每个放大器400μA
双电源操作:±2.5 V至±15 V
单位增益稳定
无相位反转
超出电源电压的内部保护输入
应用
无线基站控制电路
光网络控制电路
仪器仪表
传感器和控制装置
热电偶式温度计
电阻式热探测器(RTD)
应变桥
分流电流测量
精密过滤器
一般说明
OPx177系列包括非常高精度、单、双和四路放大器,具有极低的偏移电压和漂移、低输入偏置电流、低噪声和低功耗。输出稳定,电容负载超过1000 pF,无外部补偿。在30V时,每个放大器的电源电流小于500μA。内部500Ω串联电阻保护输入,允许输入信号电平超过任一电源几伏而无相位反转。
与以前具有极低偏置电压的高压放大器不同,OP1177(单)和OP2177(双)放大器采用微型8引线表面贴装MSOP和8引线窄SOIC封装。OP4177(quad)提供TSSOP和14引线窄SOIC封装。此外,MSOP和TSSOP中的规定性能与SOIC封装中的性能。MSOP和TSSOP仅提供磁带和卷盘。
OPx177系列在表面贴装封装中提供了任何高精度放大器中规定的最宽温度范围。所有版本都完全规定在−40°C到+125°C的温度范围内运行,适用于最苛刻的操作环境。
这些放大器的应用包括精确的二极管功率测量、电压和电流电平设置以及光和无线传输系统中的电平检测。其他应用包括线路供电和便携式仪表和控制热电偶、电阻式温度检测器、应变桥和其他传感器信号调节和精密过滤器。
引脚配置

典型性能特征















功能描述
OPx177系列是第四代模拟设备公司,工业标准OP07放大器系列。OPx177是一种高精度、低噪声运算放大器,具有极低的失调电压和极低的输入偏置电流。与JFET放大器不同,低偏压和偏置电流对环境温度相对不敏感,甚至高达125°C。
模拟器件公司专有的工艺技术和线性设计专业技术在一个微型的MSOP 8-引线封装中生产出了一种性能优于OP07、OP77和OP177的高压放大器。尽管其体积小,OPx177提供了许多改进,包括低宽带噪声,非常宽的输入和输出电压范围,较低的输入偏置电流,以及完全没有相位反转。
OPx177的指定工作温度范围与塑料表面贴装封装中的任何类似设备一样宽。这一点越来越重要,因为印刷电路板和整个系统尺寸不断缩小,导致内部系统温度上升。与OP177相比,功耗降低了四倍,带宽和转换速率增加了两倍。低功耗和非常稳定的性能对温度也起到了减少预热漂移误差的作用。
在重负载下,开环增益线性度优于竞争部件,如OPA277,提高了直流精度,并减少了高闭环增益电路中的失真。输入在内部受到保护,不受任何供电轨的过电压条件的影响。
像任何高性能放大器,最大的性能是通过遵循适当的电路和PCB指南来实现的。以下各节提供了在各种应用条件下如何充分利用OPx177的实用建议。
总噪声-包括源电阻
OPx177的低输入电流噪声和输入偏置电流使其适用于具有大量输入源电阻的电路。输入偏置电压每增加500Ω源电阻,最大增加不到1μV。
OPx177的总噪声密度为:

式中:
en为输入电压噪声密度。
in是输入电流噪声密度。
RS是非换向端的源电阻。
k是玻尔兹曼常数(1.38×10−23 J/k)。
T是环境温度,单位为开尔文(T=273+温度单位为摄氏度)。
当RS<3.9kΩ时,以en为准

当3.9kΩ<RS<412kΩ时,放大器的电压噪声、通过源电阻转换的放大器电流噪声以及源电阻的热噪声都是总噪声的贡献因素。
当RS>412 kΩ时,电流噪声占主导地位,并且

特定带宽上的总等效均方根噪声表示为:

其中BW是以赫兹为单位的带宽。
上述分析对大于50赫兹的频率有效。当考虑较低频率时,必须考虑闪烁噪声(也称为1/f噪声)。
有关噪声计算的参考,请参阅带通KRC或Sallen键滤波器部分。
增益线性度
增益线性度减少了闭环配置中的误差。增益曲线越直,输入信号范围内的最大误差越小。对于具有高闭环增益的电路来说尤其如此。
OP1177即使在重载情况下也具有良好的增益线性,如图51所示。将其性能与OPA277进行比较,如图52所示。两个装置在相同条件下测量,RL=2kΩ。OP2177(双)在较低电压下几乎没有失真。与OPA277相比,OP1177在不同电源电压和不同负载下的性能远远超过了OPA277。


输入过压保护
当输入电压超过正或负电源电压时,大多数放大器都需要外部电阻器来保护它们不受损坏。
OPx177具有内部保护电路,可在任一端子的输入端施加超过电源的高达2.5 V的电压,而不会产生任何有害影响。
如果电压超过电源2.5 V以上,则使用一个与输入串联的附加电阻器。电阻器的值可根据公式确定:

在OPx177低输入偏置电流小于1毫安的情况下,将一个5千欧电阻器与两个输入串联,可使输入偏置电压增加不到5微伏,对电路整体噪声性能的影响可以忽略不计。
5 kΩ保护输入电压超过任一电源27 V。有关噪声与源电阻的更多信息,请参阅THD+噪声部分。
输出相位反转
相位反转被定义为放大器传递函数中极性的改变。当输入端的电压大于最大共模电压时,许多运算放大器会出现相位反转。在某些情况下,这可能会对放大器造成永久性损坏。在反馈回路中,它可能导致系统锁定或设备损坏。即使在输入电压超过电源的情况下,OPx177也不受相位反转问题的影响。

沉降时间
稳定时间是指在应用输入脉冲后,放大器输出达到并保持在其最终值的百分比内所需的时间。它在放大器缓冲ADC输入或DAC输出的测量和控制电路中尤为重要。
为了尽量减少放大器电路的稳定时间,使用适当的电源旁路和适当的电路元件选择。电阻器应该是金属薄膜型的,因为它们的杂散电容和电感比线绕的同类要小。电容器应为聚苯乙烯或聚碳酸酯类型,以尽量减少介质吸收。
电源线应尽可能短,以减少电容和电感。OPx177的稳定时间约为45μs至0.01%(1 mV),输入端采用10 V阶跃,单位增益不变。
过载恢复时间
过载恢复是指放大器的输出电压从饱和状态恢复到线性响应区域所需的时间。一个常见的例子是电路传递函数要求的输出电压超出放大器的最大输出电压能力。在闭合环路增益为2的放大器上施加的10 V输入需要20 V的输出电压。这超出了OPx177在±15 V电源下工作时的输出电压范围,并迫使输出饱和。
恢复时间在许多应用中都很重要,尤其是在运算放大器必须在大的瞬态电压下放大小信号的情况下。

图18显示了OP1177的正过载恢复时间。过驱动超过100%后,输出在不到4μs内恢复。
OP1177的负过载恢复为1.4μs,如图19所示。
THD+噪声
OPx177的总谐波失真非常低。这表明了优良的增益线性度,使OPx177成为高闭环增益精度电路的最佳选择。
图55显示OPx177在单位增益中有大约0.00025%的失真,这是失真的最坏配置。

电容负载驱动
OPx177在所有增益下本质上是稳定的,并且能够在没有振荡的情况下驱动大电容负载。在没有外部补偿的情况下,OPx177在任何配置下都能安全地驱动高达1000 pF的电容负载。与几乎任何放大器一样,在单位增益下驱动更大的电容性负载需要额外的电路来保证稳定性。
在这种情况下,缓冲网络被用来防止振荡和减少超调量。这种方法的一个显著优点是它没有减小输出摆幅,因为电阻RS不在反馈回路内。
图56是OPx177输出响应400毫伏脉冲的范围快照。负载电容为2nF。电路配置为正单位增益,这是稳定性的最坏情况。
如图58所示,将R-C网络与负载电容(CL)并联,可使放大器在不引起振荡或过冲的情况下驱动更高的CL值。
没有振铃,并且使用缓冲网络将超调从27%降低到5%。
表5列出了几种电容性负载(最大200 nF)的RS和CS的最佳值。其他电容性负载的值可以通过实验确定。




注意:缓冲技术不能恢复由大电容负载引起的带宽损失。
杂散输入电容补偿
运算放大器电路(Ct)中的有效输入电容由三个元件组成。这些是输入端子之间的内部差分电容,每个输入对地的内部共模电容,以及包括寄生电容在内的外部电容。在图59中的电路中,闭环增益随着信号频率的增加而增加。
电路的传递函数为:

表示零

根据R1和R2的值,闭环增益的截止频率可以远低于交叉频率。在这种情况下,相位裕度(ΦM)会严重退化,导致过度振铃甚至振荡。
克服这个问题的一个简单方法是在反馈路径中插入一个电容器,如图60所示。
所得到的极点可以被定位来调整相位裕度。
设置Cf=(R1/R2)Ct实现90°的相位裕度。


减少电磁干扰
许多方法可以用来减少电磁干扰对放大器电路的影响。
在一种方法中,任一输入端上的杂散信号耦合到放大器的相反输入端。结果是根据放大器的共模抑制比抑制信号。
这通常是通过在放大器的输入端之间插入一个电容器来实现的,如图61所示。然而,这种方法也可能导致不稳定,这取决于电容值。

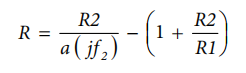
在电容器上串联一个电阻(见图62),可以增加直流回路的增益并减少输出误差。将断点(由R-C引入)放置在运算放大器的次级极下方,可以提高相位裕度,从而提高稳定性。
根据公式,R可以独立于C来选择特定相位裕度

其中:
a是放大器的开环增益。
f2是a=ΦM−180°相位的频率。

适当的电路板布局
OPx177是一种高精度设备。为确保PCB级的最佳性能,在设计电路板布局时必须小心谨慎。
为避免漏电流,电路板表面应保持清洁,无水分。涂层的表面创造了一个防潮层,并有助于减少寄生电阻板。
保持电源轨迹短,并适当地绕过电源,可最大限度地减少因输出电流变化而产生的电源干扰,例如在将交流信号驱动到重负载时。旁路电容器应尽可能靠近设备电源引脚。杂散电容是放大器输出和输入端的一个问题。建议信号迹线距离电源线至少5 mm最小化耦合。
PCB上的温度变化会导致焊点和其他不同金属接触点的Seebeck电压导致热电压误差。为了尽量减少热电偶的影响,调整电阻器的方向,使热源均匀地加热两端。输入信号路径应包含匹配的部件编号和类型,尽可能匹配热电偶接头的数量和类型。例如,可以使用零值电阻等虚拟元件来匹配相反输入路径中的实际电阻。匹配的部件应位于附近,并应以相同的方式定向。确保引线长度相等,以便热传导处于平衡状态。使PCB上的热源尽可能远离放大器输入电路。
强烈建议使用地平面。接地板降低了EMI噪声,也有助于保持整个电路板的恒定温度。
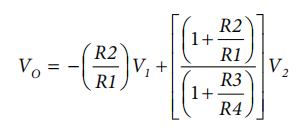
差分放大器
差分放大器用于高精度电路中以提高共模抑制比(CMRR)。

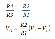
在单仪表放大器中(见图63),其中

比率R2/R1和R4/R3之间的不匹配导致共模抑制比降低。
为了更好地理解这种影响,我们可以从定义上考虑,

其中ADM是差分增益,ACM是共模增益。

为了使这个电路充当差分放大器,其输出必须与差分输入信号成比例。
从图63来看,

排列各项并结合前面的方程式得出:

CMRR对R1的灵敏度是通过取方程1中CMRR对R1的导数得到的。

假设
R1≈R2≈R3≈R4≈R和R(1−δ)<R1,R2,R3,R4<R(1+δ)
最坏情况下的CMRR错误出现在:
R1=R4=R(1+δ)和R2=R3=R(1−δ)
将这些值代入方程式1中可以得到:

其中δ是电阻器的公差。
较低的容差值电阻导致更高的共模抑制(高达运算放大器的共模抑制比)。
使用5%公差电阻,可以保证的最高共模抑制比为20分贝。或者,使用0.1%的容差电阻可产生至少54db的共模抑制比(假设运算放大器CMRR×54db)。
当OPx177的共模抑制比最小为120分贝时,电阻匹配是大多数电路的限制因素。微调电阻可以用来进一步改善差分放大电路的电阻匹配和共模抑制比。
高精度热电偶放大器
热电偶由两根接触的不同金属线组成。不同的金属产生电压

式中:
TJ是热接点测量时的温度。
TR是冷端的温度。
α是热电偶中使用的不同金属特有的塞贝克系数。
VTC是热电偶的电压,随着温度的升高而变大。
最大测量精度要求热电偶的冷端补偿。为了进行冷端补偿,在终端连接处(等温块内部)施加一根铜线短路,模拟0°C点。使用R5微调电阻器将输出电压调零,然后拆下铜线。
OPx177是热电偶电路的理想放大器,因为它具有非常低的失调电压、优良的PSRR和CMRR,以及低频低噪声。
它可以用来创建一个具有良好线性度的热电偶电路。电阻器R1、电阻器R2和二极管D1,如图64所示,安装在等温块中。

低功率线性化RTD
单个元件变化电桥的常见应用是RTD温度计放大器,如图65所示。励磁通过施加在桥顶部的2.5 V参考电压传输至电桥。
RTD的热阻可高达0.5°C至0.8°C/mW。为了尽量减少由于电阻漂移引起的误差,必须使通过电桥每个支路的电流保持在较低水平。在这个电路中,放大器供电电流流过电桥。然而,在OPx177最大供电电流为600μA时,即使在最高电阻下,RTD消耗的功率也小于0.1 mW。由于电桥中的功率损耗引起的误差保持在0.1°C以下。
通过调节RP,在待测温度的最小值处对电桥进行校准,直到输出为零。
要校准输出量程,将满标度和线性电位计设置为中点,并对传感器施加500°C的温度,或替换等效的500°C RTD电阻。
将满标度电位计调整为5 V输出。最后,施加250°C或等效的电阻式温度检测器电阻,并将线性电位计调整为2.5 V输出。调整后的电路精度优于±0.5℃。

单运放电桥
OP1177的低输入偏移电压漂移使其对于用于RTD信号调理的桥式放大器电路非常有效。与仪表放大器相比,使用单桥运算放大器通常更经济。
在图66所示的电路中,运算放大器的输出电压为:

式中,δ=ΔR/R是由于电阻式温度检测器温度变化,电阻式温度检测器电阻相对于电桥电阻的分数偏差。
对于δ<<1,前面的表达式变成

在VREF常数下,输出电压与增益因子δ成线性关系


有源滤波器的实现
带通KRC或SALLEN-KEY滤波器
OPx177的低偏移电压和高共模抑制比使其成为精密滤波器的最佳选择,如图67所示的带通KRC滤波器。这种滤波器可以独立调节增益和截止频率。
由于进入放大器的共模电压随KRC滤波器电路中的输入信号而变化,因此需要高共模抑制比来减小失真。此外,当电路增益选择为高时,OPx177的低偏移电压允许更宽的动态范围。
图67的电路包括两个阶段。第一级是一个简单的高通滤波器,其中转角频率(fC)为:

和

其中K是直流
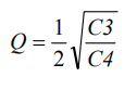
选择相等的电容值可使灵敏度最小化,并将等式2简化为:

Q值决定增益与频率的峰值(瞬态响应中的振铃)。通常选择的Q值通常接近统一。
设置
产生最小增益峰值和最小振铃。使用方程式3确定R1和R2的值。
对于
,在电路示例中为R1/R2=2。为简单起见,选择R1=5 kΩ和R2=10 kΩ。
第二级是低通滤波器,其中转角频率可以以类似的方式确定。对于R3=R4=R。
和
通道分离
通常需要在单个芯片上使用多个放大器来拒绝来自相邻通道的输入或输出的任何信号。OP2177输入和偏置电路设计用于防止信号从一个放大器通道到另一个通道的馈通。因此,OP2177具有令人印象深刻的信道间隔,频率高达100kHz时大于−120dB,信号高达1MHz时大于−115dB。


外形尺寸





安芯科创是一家国内芯片代理和国外品牌分销的综合服务商,公司提供芯片ic选型、蓝牙WIFI模组、进口芯片替换国产降成本等解决方案,可承接项目开发,以及元器件一站式采购服务,类型有运放芯片、电源芯片、MO芯片、蓝牙芯片、MCU芯片、二极管、三极管、电阻、电容、连接器、电感、继电器、晶振、蓝牙模组、WI模组及各类模组等电子元器件销售。(关于元器件价格请咨询在线客服黄经理:15382911663)
代理分销品牌有:ADI_亚德诺半导体/ALTBRA_阿尔特拉/BARROT_百瑞互联/BORN_伯恩半导体/BROADCHIP_广芯电子/COREBAI_芯佰微/DK_东科半导体/HDSC_华大半导体/holychip_芯圣/HUATECH_华泰/INFINEON_英飞凌/INTEL_英特尔/ISSI/LATTICE_莱迪思/maplesemi_美浦森/MICROCHIP_微芯/MS_瑞盟/NATION_国民技术/NEXPERIA_安世半导体/NXP_恩智浦/Panasonic_松下电器/RENESAS_瑞莎/SAMSUNG_三星/ST_意法半导体/TD_TECHCODE美国泰德半导体/TI_德州仪器/VISHAY_威世/XILINX_赛灵思/芯唐微电子等等
免责声明:部分图文来源网络,文章内容仅供参考,不构成投资建议,若内容有误或涉及侵权可联系删除。
Copyright © 2002-2023 深圳市安芯科创科技有限公司 版权所有 备案号:粤ICP备2023092210号-1