特征
增益带宽乘积:5MHz典型值
转换速率:3V/μs典型值
每个放大器的低电源电流:最大0.55mA
输入偏移电压:最大180μV
输入偏移电压漂移:最大3μV/°C
输入偏移电流:最大20nA
输入偏置电流:最大100nA
开环增益:1500V/mV Min(VS=±15V)
低输入噪声电压:16.5nV/√Hz
低输入噪声电流:0.14pA/√Hz
大输出驱动电流:20mA Min
单电源操作
输入电压范围包括接地
输出在下沉电流时摆动到地上
宽电源电压范围:2.5V至36V
规定为3.3V、5V和±15V
双入8针PDIP等组件
窄16针SO封装中的四芯
应用程序
电池供电系统
便携式仪器
有源滤波器
光电二极管放大器
DAC电流电压放大器
说明
LT®1492/LT1493是双/四、低功耗、单级精度运算放大器,具有5MHz增益带宽产品,3V/μs转换速率,静态供电电流仅为450μA每个放大器。当最大输入偏移电压仅为180μV时LT1492/LT1493消除了大多数系统中的微调,同时提供了低频时不常见的高频性能为单电源放大器供电。LT1492/LT1493将在任何大于总电压为2.5V且小于36V,且规定为单3.3V,单个5V和±15V电源。即使他们安静的很低电源电流最小输出驱动为20mA,适用于驱动低阻抗负载。输入可以被驱动到超出供给之外输出损坏或相位反转。低运转电压和宽输入输出范围使LT1492/LT1493放大器是电池供电应用的理想选择。对于需要更快精度的单电源应用放大器,参见14MHz,7V/μs LT1211/LT121228MHz,12V/μs LT1213/LT1214或23MHz,50V/μsLT1215/LT1216。
绝对最大额定值
总电源电压(V+到V-)36伏
输入电流±15毫安
输出短路持续时间(注1)连续
工作温度范围–40°C至85°C
规定温度范围(注2)…40°C至85°C
结温 150摄氏度
储存温度范围 –65°C至150°C
铅温度(焊接,10秒)300摄氏度
5V电气特性
VS=5V,0V;VCM=0.5V,VOUT=0.5V,TA=25oC,除非另有说明

±15V电气特性
VS=±15V,VCM=0V,VOUT=0V,0°C≤TA≤70°C,除非另有说明。

表示适用于整个操作的规范温度范围。
注1:可能需要一个散热器来保持结温输出无限期短路时低于绝对最大值。
注2:LT1492/LT1493的设计、特点和预期满足这些扩展的温度限制,但不在-40°C和85°C。提供保证的I级零件。咨询工厂。
注3:此参数不是100%测试。
注4:通过与VS=3.3V和VS=±15V试验的相关性进行保证。
注5:在±10V的输出摆幅上,在±5V之间测量回转率在±15V电源上。
注6:大多数LT1492/LT1493电气特性变化很小有电源电压。有关中未列出的特性,请参阅5V表3.3V表。
注7:通过与VS=5V和VS=±15V试验的相关性进行保证。
注8:通过与VS=3.3V试验的相关性进行保证。
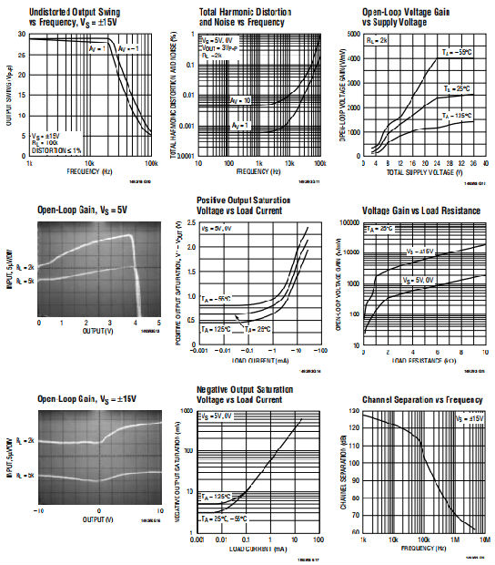
典型性能特征




应用程序信息
电源电压
所有1492/1493灯都正常工作内部偏置电路采用2.1V电源调节。放大器将继续工作1.6V,尽管输入共模范围和相位差快消失了。最小操作电源电压由PSRR测试保证输入共模等于500mV和a最小电源电压为2.5V。LT1492/LT1493的正极电源引脚应为在一英寸的针。当驾驶重型车辆时沉降时间,应增加4.7μF电容器用过。使用分体式电源时,同样适用于负极电源引脚。
功率损耗
LT1492/LT1493结合了高速和大输出小包装车。因为供应量大电压范围,有可能超过最大值一定条件下的结温。最大结温(TJ)根据环境温度计算
温度(TA)和功耗(PD)如下:
LT1492CN8:TJ=TA+(PD•130°C/W)
LT1492CS8:TJ=TA+(PD•190°C/W)
LT1493CS:TJ=TA+(PD•150°C/W)
最坏情况下的功耗最大
当输出电压为
电源电压(或最大摆动,如果小于
1/2电源电压)。对于每个放大器,PDMAX为:
PDMAX=(V+–V–)(ISMAX)+(V+/2)2/RL
示例:70°C时的LT1493,VS=±15V,RL=1k
PDMAX=(30V)(930μA)+(7.5V)2/1kΩ=84.2mW
Tj最大值=70°C+(4•84.2mW)(150°C/W)=121°C
输入
通常,在室温下,LT1492的输入/LT1493 can共模400毫伏地下(V-)与放大器的正电源的1.2V范围内功能正常。但是,输入偏压电流会随着如特征曲线所示。完全精确性能方面,应限制共模范围接地(V-)和正极电源以下1.5V之间。当任一输入被接地(V-)以下时超过700mV,输入电流就会增加戏剧性地。电流受内部100Ω的限制每个输入引脚和二极管之间的电阻供应。输出将保持低(无相位反转)输入1.3V地下(V-)。如果输出没有吸收电流,如在一个1k的单电源系统中负载对地,输入不超过地面以下8V。
LT1492的输入端没有卡箍/LT1493,因此每个输入可以强制电源之间的电压。在这个范围的大部分时间内,输入电流将保持在约50nA的恒定值。当输入接近正极电源1.5V时,输入电流将逐渐减小到零,直到输入高于电源,然后由于前面提到的二极管。如果反向输入被保持比不可逆输入高出200mV或更多,同时不可逆输入在300毫伏对地(V-)内,则电源电流将增加1mA,不可逆输入电流将增加到约10μA。应记住这一点反向输入保持的比较器应用高于地面(V–)且无换向输入在或接近接地(V)
输出
LT1492/LT1493的输出将在0.65V正极电源,并在3mV范围内空载负电源。负载条件下见输出饱和的典型性能曲线电压特性。LT1492/LT1493的输出具有反向偏置各电源的二极管。如果输出被强制超过供应,无限电流流动。如果电流是暂时的,限制在几百毫安,不是吗会造成损坏。
反馈组件
因为LT1492/LT1493的输入电流较小大于100nA,可以使用高值反馈设置增益的电阻器。但是,必须注意确保反馈电阻器和输入电容形成的电极不会降低放大器的稳定性。例如,如果一个电源,使用两个62k电阻将非互易增益设置为2LT1492/LT1493可能会振荡。这是因为放大器以1MHz(6dB增益)开环具有50°的相位裕度。反馈电阻和10pF输入电容在500kHz时产生一个磁极在1MHz下引入63°相移!解决办法是简单地说,降低电阻值或添加反馈10pF或更大的电容器。
电容性负载
LT1492/LT1493针对低压、单电源进行了优化供应操作。最大容性负载vs负载电流典型性能曲线显示了无负载电阻的电路性能。当输出为下沉电流或用高电源驱动重负载,电容性负载处理能力降低。

比较器应用
有时使用运算放大器作为比较工具是可取的。在单个3.3V上操作LT1492/LT1493时或5V电源,输出直接与大多数TTL接口以及CMOS逻辑。LT1492/LT1493的响应时间很强输入过驱动量的函数,如以下是照片。这些放大器是单位增益稳定的运算放大器和非快速比较器,因此,逻辑由于过渡时间长,驱动可能会振荡。输出可以通过增加20mV或更多滞后(正反馈),但偏移量输入方向的函数。


安芯科创是一家国内芯片代理和国外品牌分销的综合服务商,公司提供芯片ic选型、蓝牙WIFI模组、进口芯片替换国产降成本等解决方案,可承接项目开发,以及元器件一站式采购服务,类型有运放芯片、电源芯片、MO芯片、蓝牙芯片、MCU芯片、二极管、三极管、电阻、电容、连接器、电感、继电器、晶振、蓝牙模组、WI模组及各类模组等电子元器件销售。(关于元器件价格请咨询在线客服黄经理:15382911663)
代理分销品牌有:ADI_亚德诺半导体/ALTBRA_阿尔特拉/BARROT_百瑞互联/BORN_伯恩半导体/BROADCHIP_广芯电子/COREBAI_芯佰微/DK_东科半导体/HDSC_华大半导体/holychip_芯圣/HUATECH_华泰/INFINEON_英飞凌/INTEL_英特尔/ISSI/LATTICE_莱迪思/maplesemi_美浦森/MICROCHIP_微芯/MS_瑞盟/NATION_国民技术/NEXPERIA_安世半导体/NXP_恩智浦/Panasonic_松下电器/RENESAS_瑞莎/SAMSUNG_三星/ST_意法半导体/TD_TECHCODE美国泰德半导体/TI_德州仪器/VISHAY_威世/XILINX_赛灵思/芯唐微电子等等
免责声明:部分图文来源网络,文章内容仅供参考,不构成投资建议,若内容有误或涉及侵权可联系删除。
Copyright © 2002-2023 深圳市安芯科创科技有限公司 版权所有 备案号:粤ICP备2023092210号-1