一般说明
LMV341/LMV342/LMV344为单、双和四低电压,低功耗运算放大器。它们是经过设计的专为低电压便携式应用。其他重要的产品特性是低输入偏置电流、轨间输出和宽温度范围。获得专利的AB类周转阶段显著减少更高频率下的噪声、功耗和偏离设定的电压。PMOS输入阶段为用户提供超低输入偏置电流20fA(典型)和高输入阻抗。-40°C至125°C的工业级温度范围可降低LMV341/LMV342/LMV344,以适应广泛的广泛的环境应用。LMV341 ex pands National Semiconductor的硅尘™ 放大器端 folio提供尺寸、速度和功率方面的增强节省。LMV341/LMV342/LMV344保证在2.7V到5.5V的电压范围内工作轨对轨输出。LMV341提供了一个关闭引脚,可用于禁用设备。一旦处于停机模式,电源电流将降至45pA(典型值)。LMV341/LMV342/LMV344具有10KHz、1MHz GBW、1.0V/μs转换时的29nV电压噪声速率、0.25mVos和0.1μA关断电流(LMV341.)LMV341采用微型6针SC70封装LMV342,节省空间的8针MSOP和SOIC,以及LMV344,14针TSSOP和SOIC。这些小包裹放大器为需要的应用提供了理想的解决方案最小PC板占地面积。具有面积约束PC板要求的应用包括便携式电子设备例如手机和掌上电脑。
特征
(典型的2.7V电源值;除非另有说明)
保证2.7V和5V规格
输入参考电压噪声(@10kHz)29nV/√Hz
电源电流(每个放大器)100μA
增益带宽乘积1.0MHz
转换率1.0V/μs
关断电流(LMV341)45pA
关机后的开启时间(LMV341)5μs
输入偏置电流20fA
应用
无绳/移动电话
笔记本电脑
PDA
PCMCIA/音频
便携式/电池供电电子设备
电源电流监测
电池监测
缓冲器
过滤器
绝对最大额定值(注1)
ESD公差(注2)
机器型号200V
人体模型2000V
差分输入电压±电源电压
电源电压(V+-V−)6.0V
输出对V+短路(注3)
输出对V-短路(注4)
储存温度范围−65°C至150°C
结温(注5)150°C
安装温度
红外线或对流回流焊(20秒)235°C
波峰焊引线温度。(10秒)260°C
工作额定值(注1)
电源电压2.7V至5.5V
温度范围−40°C至125°C
热阻(θJA)
6针SC70 414°C/W
8针SOIC 190°C/W
8针MSOP 235°C/W
14针TSSOP 155°C/W
14针SOIC 145°C/W
2.7V直流电电气特性(注10)
除非另有规定,否则TJ的所有限制都是保证的=25°C,V+=2.7伏,V−=0伏,VCM=V+/2,VO=V+/2和RL>1兆欧。粗体极限适用于极端温度。

5V直流电特性(注10)
除非另有规定,否则TJ的所有限制都是保证的=25°C,V+=5V,V−=0V,VCM=V+/2,VO=V+/2和R L>1MΩ。Bold 面部限制适用于极端温度。

注1:绝对最大额定值表示设备可能发生损坏的极限值。工作额定值表示设备的工作条件旨在发挥功能,但具体性能无法保证。有关保证的规格和测试条件,请参阅电气特性。
注2:人体模型,适用标准MIL-std-883,方法3015.7。机器型号,适用标准JESD22-A115-A(JEDEC的ESD MM标准)场致电荷器件型号,适用标准JESD22-C101-C(JEDEC的ESD FICDM标准)。
注3:将输出短路至V+将对可靠性产生不利影响。
注4:输出对V短路-会对可靠性产生不利影响。
注5:最大功耗是TJ(MAX)θJA的函数。任何环境温度下的最大允许功耗=(TJ(最大值)–TA所有数字适用于直接焊接到PC板上的封装。
注6:典型值代表表征时确定的最有可能的参数规范。实际典型值可能会随着时间的推移而变化也取决于应用程序和配置。典型值未经测试,且不保证装运的生产材料。
注7:所有限值均由试验或统计分析保证。
注8:RL
连接到中间电源。输出电压为GND+0.2V≤VO≤V+−0.2V
注9:作为电压跟随器连接,2VPP阶跃输入。指定的数字是正负转换率中较慢的一个。
注10:电气表数值仅适用于指定温度下的工厂试验条件。工厂测试条件导致自加热非常有限使TJ=TA 在内部自热条件下,电气表中没有说明参数性能的保证,其中TJ>
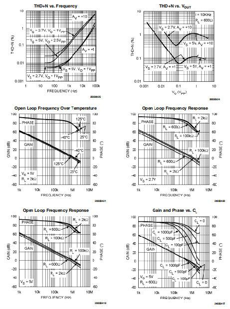
典型性能特征






应用部分
LMV341/LMV342/LMV344LMV341/LMV342/LMV344系列放大器具有低压、低功耗、轨对轨输出操作放大器,专为低压便携式应用而设计。这个该系列采用全CMOS工艺设计。这导致超低的输入偏置电流。LMV341停机选项,可用于便携式设备以增加电池寿命。LMV341/LMV342/LMV344系列放大器的简化示意图如图1所示。PMOS输入差分对允许输入包括接地。的输出该差分对连接到AB类周转舞台。与常规周转阶段相比,AB级周转具有较低的静态电流。这导致更低的偏移、噪音和功耗,同时转换率等于传统的周转阶段。的输出AB级周转阶段为输出端互补共源晶体管舞台。这些晶体管使该设备能够有轨对轨输出。

AB类周转级放大器
这一专利折叠共源共栅级有一个组合AB级放大器级,它取代了传统的折叠cas编码级。因此,AB类折叠共栅级与传统折叠共源共栅级相比,其静态电流要低得多。这会导致较小的偏移和噪声贡献。减少的偏移量和噪声的贡献反过来又降低了偏移电压电平和LMV341/LMV342输入端的电压噪声电平/LMV344。同时,较低的静态电流会导致放大器的开环增益。较低的静态电流不影响放大器的转换速率,也不影响放大器处理来自输入级的总电流摆动。该器件在低频时的输入电压噪声为低1kHz,比BJT输入的器件稍高然而,PMOS输入阶段的结果是当频率高于1kHz时,输入偏置电流和输入电压噪声降低。
采样保持电路
低输入偏置电流的LMV341导致高输入阻抗。当设备处于停机模式时,输出阻抗相当高。这些高的阻抗,以及关断销的能力从一个独立的电源,使LMV341成为一个好的采样和保持电路的选择。样品钟应该快速连接到放大器的关机引脚打开或关闭设备。图2显示了一个简单的sample-and-hold的示意图电路。当采样时钟很高时,第一个放大器在正常工作模式,第二个放大器作为缓冲区。电容器,在第一个放大器,此时正在充电。通过电容器是第一个放大器的非逆变输入因为它是作为电压跟随器连接的。当样品时钟低第一个放大器被关闭,带来输出阻抗高值。这个输出的高阻抗,以及第二个输入端的高阻抗放大器,防止电容器放电。有当第一个放大器处于关闭状态时,电压降很小模式。第二个放大器,它仍然正常工作模式和作为电压跟随器连接,也提供电容器输出端采样的电压。

关机功能
LMV341能够关闭,以便在便携式设备中提供电源和延长电池寿命。一旦处于关机模式,电源电流将大幅降低,最大值为1μA,输出将为“三态”当关机引脚电压为拉低了。关机引脚不得断开连接。保持引脚浮动将导致未定义的操作模式,设备可能在关机之间振荡和激活模式。LMV341通常在停机电压拉高后开启2.8μs。之后,设备将在不到400 ns的时间内关闭关闭电压拉低。图3和图4显示LMV341的开启时间和关闭时间。在为了减少电容的影响电路由示波器探头,在关断时间电路中有一个电阻增加600Ω的负载。图5和图6显示了测试用于获得两个曲线图的电路。


低输入偏置电流
LMV341/LMV342/LMV344放大器有一个PMO在输出阶段。因此,它们的输入偏差要低得多电流大于BJT输入级的设备。此功能使这些设备成为传感器电路的理想选择。典型曲线LMV341的输入偏置电流如图7所示。

安芯科创是一家国内芯片代理和国外品牌分销的综合服务商,公司提供芯片ic选型、蓝牙WIFI模组、进口芯片替换国产降成本等解决方案,可承接项目开发,以及元器件一站式采购服务,类型有运放芯片、电源芯片、MO芯片、蓝牙芯片、MCU芯片、二极管、三极管、电阻、电容、连接器、电感、继电器、晶振、蓝牙模组、WI模组及各类模组等电子元器件销售。(关于元器件价格请咨询在线客服黄经理:15382911663)
代理分销品牌有:ADI_亚德诺半导体/ALTBRA_阿尔特拉/BARROT_百瑞互联/BORN_伯恩半导体/BROADCHIP_广芯电子/COREBAI_芯佰微/DK_东科半导体/HDSC_华大半导体/holychip_芯圣/HUATECH_华泰/INFINEON_英飞凌/INTEL_英特尔/ISSI/LATTICE_莱迪思/maplesemi_美浦森/MICROCHIP_微芯/MS_瑞盟/NATION_国民技术/NEXPERIA_安世半导体/NXP_恩智浦/Panasonic_松下电器/RENESAS_瑞莎/SAMSUNG_三星/ST_意法半导体/TD_TECHCODE美国泰德半导体/TI_德州仪器/VISHAY_威世/XILINX_赛灵思/芯唐微电子等等
免责声明:部分图文来源网络,文章内容仅供参考,不构成投资建议,若内容有误或涉及侵权可联系删除。
Copyright © 2002-2023 深圳市安芯科创科技有限公司 版权所有 备案号:粤ICP备2023092210号-1