特征
•高带宽:80MHz
•高转换率:55V/μs 出色的视频性能
−0.5dB增益平坦度:25MHz
−差分增益:0.3%
−差相:0.7°;
•输入范围包括接地
•轨对轨输出
•关机电流:<5μA
•低静态电流:5.2mA
•单电源工作范围:+2.7V至+3.3V
•微型包装:SC70-6
应用
•数码相机
•照相手机
•数字媒体播放器
•数码摄像机
•机顶盒视频过滤器
•光功率监测
•跨阻放大器
•自动测试设备
说明
高速OPA358放大器针对3V单电源操作进行了优化。当150Ω负载连接到GND时,输出通常在接地5mV范围内摆动。输入共模范围包括GND和摆动到正电源1V以内。OPA358具有优异的视频性能:0.5dB增益平坦度为25MHz,差分增益为0.3%,差分相位为0.7°。
OPA358的电源电压范围为+2.7V至+3.3V,工作范围为+2.5V至+3.6V。每个通道的静态电流仅为5.2mA。
在关机模式下,静态电流降至<5μA,显著降低功耗。这在电池供电的设备中尤其重要,例如数码相机(dsc)或带有集成摄像头的移动电话。
OPA358在SC70-6中提供,SC70-6是目前可用于视频应用的最小软件包。
OPA358相关产品

引脚配置

(1)、如图所示,通过调整包装标记的方向来确定针脚1。
典型特征
除非另有说明,否则所有技术规格在TA=+25°C,RL=150Ω时连接至VS/2。





应用程序信息
工作电压
在−40°C至+85°C的温度范围内,OPA358完全规定为+2.7V至+3.3V。随工作电压或温度而显著变化的参数显示在典型特性中。
电源插脚应使用100nF陶瓷电容器旁路。
输入电压
OPA358的输入共模范围从(V−)−0.1V扩展到(V+−1.0V)。
输入过电压保护
所有OPA358引脚均采用与电源相连的内部ESD保护二极管进行静电保护。如果电流被外部限制在10mA,这些二极管将提供输入过驱动保护。
轨对轨输出
AB类输出级采用共源晶体管实现轨对轨输出。对于150Ω负载,当负载连接到VS/2时,输出电压摆幅从负轨到正轨分别为100mV和200mV。对于较轻的负载,在保持高开环增益的同时,输出极为靠近电源轨。如果负载接地,OPA358输出通常在离地5mV范围内摆动。见典型特性曲线,输出电压摆幅与输出电流。
启用/关闭
OPA358具有关闭功能,可禁用输出并将静态电流降低到5μa以下。此功能对于便携式视频应用程序尤其有用,例如数码相机(DSC)和相机电话,这些设备很少与电视或其他视频设备连接。
启用逻辑输入电压参考OPA358 GND引脚。应用于使能引脚的逻辑电平高启用运算放大器。有效逻辑高电平定义为高于GND≥1.6V。有效逻辑低定义为高于GND≤0.8V。如果未连接启用引脚,内部上拉电路将启用放大器。使能引脚电压水平测试有效逻辑高阈值(最小1.6V)和有效逻辑低阈值(最大0.8V)。
启用时间为1.5μs,禁用时间仅为50ns。这使得OPA358的输出可以多路复用到公共输出总线上。禁用时,输出假定为高阻抗状态。

视频表演
行业标准视频测试模式包括:
•不同测试频率的多突发数据包,以检查基本频率响应。
•以不同频率调制的多脉冲脉冲,用于测试视频基带上振幅和群延迟误差的综合测量。
•色度-亮度(CCIR17)-测试振幅、相位和一些失真。
图2显示了图3到图13和图16的测试电路。(注:1和2表示与图中标记为1和2的波形相对应的测量点。)

OPA358的频率响应
频率响应测量评估视频系统在不影响各自振幅的情况下均匀传输不同频率信号分量的能力。图3显示了多脉冲测试模式;图4显示了多脉冲。这些图中的顶部波形显示了完整的测试模式。中间和底部波形是完整波形的关键部分的更详细视图。中间的波形代表来自视频发生器的输入信号;底部的波形是输出到线路的OPA358。


色度与亮度增益不相等(或相对色度电平)是视频信号的色度和亮度分量在不同频率下增益比的变化。常见的测试模式是测试模式ccir17中的脉冲,如图5所示。如图3和图4所示,顶部波形显示了完整的测试模式。中间和底部波形是完整波形关键部分的更详细视图,中间波形表示来自视频发生器的输入信号,底部波形是输出到线路的OPA358。

增益误差通常表现为色度信息的衰减或峰值。这在图片中显示为不正确的颜色饱和度。延迟失真会导致颜色模糊或出血,尤其是图片中物体的边缘。它也可能导致锐利发光跃迁的再现性差。
图3至图5显示,OPA358在整个视频频率范围内不会造成可见失真或增益变化。
输出摆动至GND(同步脉冲)
图6显示了OPA358的输出摆动能力,它通过驱动输入,同步电平为0V。OPA358的输出非常接近0V,通常在小于5mV的范围内摆动,负载接地为150Ω。
弧垂校正
凹陷校正通过两个小的输出耦合电容器提供出色的视频性能。它消除了传统的、大的220μF输出电容器。传统的220μF电路(图7a)在5Hz时产生一个单一的低频极(−3dB频率)。如果这个电容器小得多,在50赫兹到100赫兹的临界范围内过度的相移会产生场倾斜,这会干扰电视接收机中同步信号的正确恢复。

带凹陷校正的OPA358(图7b)在20Hz区域产生振幅响应峰值。这一小部分的峰值(十分之几分贝)在50赫兹到100赫兹的临界范围内提供了相位响应的补偿,大大减少了磁场倾斜。请注意,需要两个明显更小、成本更低的电容器。

带有凹陷校正的电路的输出电压摆幅(见图7b)是耦合电容值的函数。弧垂校正电容器的值只会产生较小的影响。耦合电容越小,输出摆幅越大。因此,为了使用非常小的耦合电容器(22μF和33μF)来适应大信号摆幅,可能需要更高的电源电压。
直流耦合输出
由于出色的摇摆到地面,OPA358也可以直流耦合到视频负载。如图8所示,这样就不需要在输出端使用交流耦合电容器。这在主板空间受限的便携式视频应用中尤为重要。
直流耦合输出配置也显示出最佳的视频性能。没有线或场倾斜允许使用最低的电源。在这种模式下,OPA358将安全地工作到2.5V,而不切断信号。
直流耦合输出的缺点是它使用了更高的电源电流。
宽带视频多路复用
视频放大器(包括使能管脚)的一个常见应用是将多个放大器输出连接在一起,然后从几个可能的视频输入中选择哪一个输入到一条线路上。这个简单的有线或视频多路复用器可以使用OPA358轻松实现,如图9所示。


容性负载与稳定性
OPA358可以驱动各种电容性负载。然而,在某些条件下,所有运算放大器都可能变得不稳定。运算放大器的配置、增益和负载值只是确定稳定性时要考虑的几个因素。单位增益结构的运算放大器最容易受到电容负载的影响。电容性负载与运算放大器输出电阻以及任何附加负载电阻发生反应,在小信号响应中产生一个极点,降低相位裕度。
改进单位增益配置中电容性负载驱动的一种方法是在输出端串联一个10Ω到20Ω的电阻器,如图10所示。这大大减少了大电容负载时的响铃。然而,如果有一个电阻负载与电容负载并联,RS会产生一个分压器。这会在输出端引入直流误差,并略微减小输出摆幅。这个错误可能无关紧要。例如,在RL=10kΩ和RS=20Ω的情况下,输出只有大约0.2%的误差。

宽带跨阻放大器
适用于低电压、低噪声、低噪声输入的35波段光电二极管放大器。低电压噪声很重要,因为光电二极管电容使电路的有效噪声增益在高频下增加。
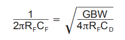
如图11所示,跨阻设计的关键元素是期望的二极管电容(包括OPA358的寄生输入共模和差模输入电容(1.5+1.5)pF)、所需的跨阻增益(RF)和OPA358(80MHz)的增益带宽积(GBW)。设置这3个变量后,可以设置反馈电容值(CF)来控制频率响应。

为了获得最大平坦的二阶巴特沃斯频率响应,反馈极点应设置为:

典型的表面贴装电阻器的寄生电容约为0.2pF,必须从计算的反馈电容值中扣除。
带宽计算公式如下:

对于更高的跨阻带宽,可以使用CMOS OPA380(90mhzgbw)、OPA355(200mhzgbw)或OPA655(400mhzgbw)。
安芯科创是一家国内芯片代理和国外品牌分销的综合服务商,公司提供芯片ic选型、蓝牙WIFI模组、进口芯片替换国产降成本等解决方案,可承接项目开发,以及元器件一站式采购服务,类型有运放芯片、电源芯片、MO芯片、蓝牙芯片、MCU芯片、二极管、三极管、电阻、电容、连接器、电感、继电器、晶振、蓝牙模组、WI模组及各类模组等电子元器件销售。(关于元器件价格请咨询在线客服黄经理:15382911663)
代理分销品牌有:ADI_亚德诺半导体/ALTBRA_阿尔特拉/BARROT_百瑞互联/BORN_伯恩半导体/BROADCHIP_广芯电子/COREBAI_芯佰微/DK_东科半导体/HDSC_华大半导体/holychip_芯圣/HUATECH_华泰/INFINEON_英飞凌/INTEL_英特尔/ISSI/LATTICE_莱迪思/maplesemi_美浦森/MICROCHIP_微芯/MS_瑞盟/NATION_国民技术/NEXPERIA_安世半导体/NXP_恩智浦/Panasonic_松下电器/RENESAS_瑞莎/SAMSUNG_三星/ST_意法半导体/TD_TECHCODE美国泰德半导体/TI_德州仪器/VISHAY_威世/XILINX_赛灵思/芯唐微电子等等
免责声明:部分图文来源网络,文章内容仅供参考,不构成投资建议,若内容有误或涉及侵权可联系删除。
Copyright © 2002-2023 深圳市安芯科创科技有限公司 版权所有 备案号:粤ICP备2023092210号-1